Finding a constant that makes the differential equation hold

Click For Summary

Homework Help Overview

The discussion revolves around a second-order linear differential equation, specifically focusing on finding a constant that satisfies the equation under given boundary conditions. Participants are exploring the implications of the characteristic equation and the nature of its roots.

Discussion Character

  • Exploratory, Assumption checking, Problem interpretation

Approaches and Questions Raised

  • Participants discuss the use of the characteristic equation and the quadratic formula to determine values for a. There is consideration of both real and complex roots, and how these relate to the form of the solution. Questions arise regarding the implications of boundary conditions on the constants involved.

Discussion Status

The discussion is ongoing, with participants sharing their reasoning and questioning the validity of their approaches. Some guidance has been offered regarding the forms of solutions based on the nature of the roots, and the need to apply boundary conditions to determine constants. There is no explicit consensus yet, as multiple interpretations and approaches are being explored.

Contextual Notes

Participants note the importance of the boundary conditions y(0) = 0 and y(7) = 0, which are central to the problem but have not yet led to a clear resolution. There is also mention of the need to show work and clarify assumptions regarding the choice of a.

s3a
Messages
828
Reaction score
8
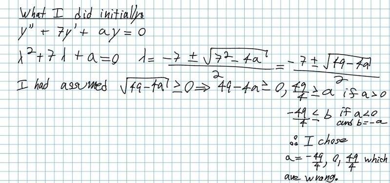
I get a = -49/4, 0, 49/4 by using the characteristic equation and quadratic formula and searching for values of a inside of the square root for which a is 0 or greater which isn't correct apparently. I've also wondered if the inside of the root should be less than 0 such that I can get a solution involving complex numbers using natural exponents which could lead me to the trigonometry involving reals but I don't have any concrete plans on getting this to work if this is what I am supposed to do.

Any help would be greatly appreciated!
Thanks in advance!

Edit: Added the question.
 

Attachments

  • P9.jpg
    P9.jpg
    11.7 KB · Views: 424
Last edited:
Physics news on Phys.org
I'm sorry but since you haven't said what the differential equation is, it's impossible to understand what you are doing.
 
Oops! I just added the question!
 
Solutions of such a second order, linear, differential equation can have three different forms:
1) If the characteristic equation has a double real root, [itex]\alpha[/itex], then [itex]y= e^{\alpha x}(C_1+ C_2x)[/itex].

2) If the characteristic equation has two real roots, [itex]\alpha[/itex] and [itex]\beta[/itex], [itex]y= C_1e^{\alpha x}+ C_2e^{\beta x}[/itex]

3) If the characteristic equation has two complex roots, [itex]\alpha+ \beta i[/itex] and [itex]\alpha- \beta i[/itex], [itex]y= e^{\alpha x}(C_1 cos(\beta x)+ C_2 sin(\beta))[/itex]

Now use the conditions y(0)= 0, y(7)= 0 to determine what those constants must be. What must a be in order that we are not forced to [itex]C_1= C_2= 0[/itex]?
 
Last edited by a moderator:
s3a said:
I get a = -49/4, 0, 49/4 by using the characteristic equation and quadratic formula and searching for values of a inside of the square root for which a is 0 or greater which isn't correct apparently. I've also wondered if the inside of the root should be less than 0 such that I can get a solution involving complex numbers using natural exponents which could lead me to the trigonometry involving reals but I don't have any concrete plans on getting this to work if this is what I am supposed to do.

Any help would be greatly appreciated!
Thanks in advance!

Edit: Added the question.

You need to show your work.

RGV
 
I attached my initial work.

Also, HallsofIvy, I don't know how to proceed but I understand the constants should not have to be 0. Do the next steps involve trigonometry?
 

Attachments

  • MyWork.jpg
    MyWork.jpg
    52.5 KB · Views: 448
You don't give any reason for "choosing" a as you say.

I pointed out that if the characteristic equation has a double root (49- 4a= 0) the solution must be of the form [itex]e^{\alpha x}(C_1+ C_2x)[/itex]. Now apply the boundary conditions: [itex]y(0)= e^0(C_1+ C_2(0))= C_1= 0[/itex] and [itex]y(7)= e^{7\alpha}(C_2(7))= 0[/itex] which gives [itex]C_2= 0[/itex]. So if a= 49/4, both [itex]C_1[/itex] and [itex]C_2[/itex] must be 0 which means y is never non-zero. a= 49/4 is NOT an answer.

Now, try the other two cases.
 
My current reasoning is to find a value to substitute for x which involves an a such that the whole thing is equal to 0 since x = 0 and x = 7 satisfy the boundary conditions but that has also failed. I attached my latest work.
 

Attachments

  • MyWork.jpg
    MyWork.jpg
    36.1 KB · Views: 489

Similar threads

  • · Replies 27 ·
Replies
27
Views
2K
  • · Replies 7 ·
Replies
7
Views
2K
  • · Replies 2 ·
Replies
2
Views
1K
  • · Replies 4 ·
Replies
4
Views
2K
Replies
3
Views
2K
  • · Replies 5 ·
Replies
5
Views
2K
  • · Replies 10 ·
Replies
10
Views
2K
  • · Replies 1 ·
Replies
1
Views
2K
  • · Replies 10 ·
Replies
10
Views
2K
Replies
1
Views
2K