Finding Density for V=(2Y1+1)^2 on U(-1,1)

  • Thread starter Thread starter James08
  • Start date Start date
  • Tags Tags
    Density
Click For Summary
SUMMARY

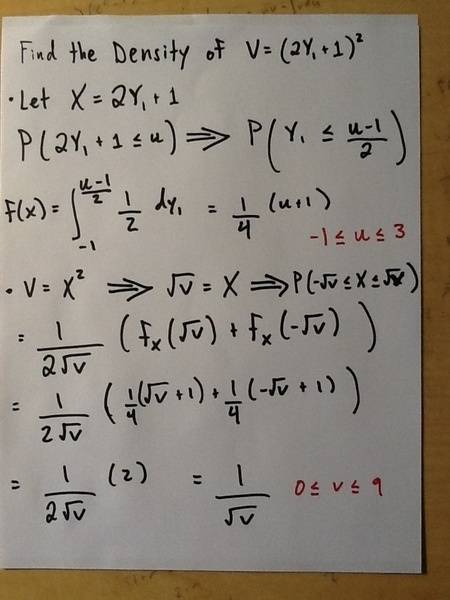
The discussion focuses on finding the density of the random variable V defined as V=(2Y1+1)^2, where Y1 is sampled from the uniform distribution U(-1,1). The initial approach involves transforming Y1 to X=2Y1+1, which leads to the need to determine the density of X before squaring it to find V. A key point raised is the importance of correctly identifying the range of X, which is from -1 to 3, as Y1 varies from -1 to +1. The integration of the density function must yield a total probability of 1, highlighting the necessity of careful calculations in the transformation process.

PREREQUISITES
  • Understanding of the uniform distribution, specifically U(-1,1)
  • Knowledge of the method of transformations for random variables
  • Familiarity with probability density functions (PDFs)
  • Basic integration techniques for probability distributions
NEXT STEPS
  • Study the method of transformations for random variables in depth
  • Learn how to derive the probability density function for transformed variables
  • Explore the implications of variable ranges on density functions
  • Practice integration of probability density functions to ensure total probability equals 1
USEFUL FOR

Students studying probability theory, statisticians working with random variables, and anyone interested in understanding transformations of distributions.

James08
Messages
2
Reaction score
0

Homework Statement



Suppose {Y1,...Yn} are random samples from U(-1,1) distribution. Find the density of V=(2Y1+1)^2

Homework Equations



Method of transformations for random variables

The Attempt at a Solution



I started this problem off by letting X=2Y1+1 because i figured i could find the density of that and then just find the density of V=X^2. I thought i had the problem right but when i went back to the density i got for X=2Y1+1 and integrated it over the interval, it didnt add up to 1. Not sure what i did wrong
 

Attachments

  • photo.JPG
    photo.JPG
    28.7 KB · Views: 395
Physics news on Phys.org
Be careful about the range of the random variable. As Y1 ranges from -1 to +1, what is the range of 2Y1+1?

RGV
 
Last edited:
Ray Vickson said:
Be careful about the range of the random variable. As Y1 ranges from -1 to +1, what is the range of 2Y1+1?

RGV

-1 to 3 right?
 

Similar threads

Replies
2
Views
2K
Replies
7
Views
1K
  • · Replies 4 ·
Replies
4
Views
2K
  • · Replies 2 ·
Replies
2
Views
2K
Replies
23
Views
3K
  • · Replies 1 ·
Replies
1
Views
2K
  • · Replies 11 ·
Replies
11
Views
2K
Replies
2
Views
2K
  • · Replies 3 ·
Replies
3
Views
5K
  • · Replies 3 ·
Replies
3
Views
1K