Finding efficiency of an engine (with attempt)

  • Thread starter Thread starter RandiSS
  • Start date Start date
  • Tags Tags
    Efficiency Engine
Click For Summary

Homework Help Overview

The discussion revolves around calculating the efficiency of an engine, specifically focusing on the work and heat involved in various steps of the process. The subject area pertains to thermodynamics and engine efficiency calculations.

Discussion Character

  • Exploratory, Assumption checking, Problem interpretation

Approaches and Questions Raised

  • Participants discuss their attempts to calculate efficiency, noting issues with undefined results due to canceled values. Questions arise regarding the correct numbers and processes to use for determining total work and heat.

Discussion Status

Some participants express uncertainty about their calculations and whether they have arrived at the correct approach. There are ongoing inquiries about specific values used in the calculations, indicating a collaborative effort to clarify the problem.

Contextual Notes

Participants mention discrepancies in units and the relevance of ratios in the calculations, highlighting potential assumptions that may affect the interpretation of the problem.

RandiSS
Messages
5
Reaction score
1
Homework Statement
An engine using 1 mol of an ideal gas ini- tially at 17.8 L and 283 K performs a cycle consisting of four steps:
1) an isothermal expansion at 283 K from 17.8 L to 35.1 L;
2) cooling at constant volume to 125 K ;
3) an isothermal compression to its original volume of 17.8 L; and
4) heating at constant volume to its original temperature of 283 K .
Find its efficiency. Assume that the heat capacity is 21 J/K and the univer- sal gas constant is 0.08206 L · atm/mol/K = 8.314 J/mol/K.
Relevant Equations
ɛ=W/Q
W=nRTln(Vf/Vi)
Q=nCΔT
4D5E1E81-4AEF-4944-9A34-02D1ABF814BB.jpeg

This was my first attempt which was not right. But it was at least a percent unlike my 2nd attempt.
64735F59-2206-42A3-AE8D-BB003A89B58E.jpeg

This was my second which I found on another forum website. It said it found the work of step 1, heat absorbed of step 2, work of step 3, and absorbed heat of step 4. However, the answers to the equations they provided just canceled out when finding the total heat absorbed and work done, which gave me an undefined efficiency. I know I need to find the work and heat for each step, combine, then divide total W by total Q. Am I using the wrong numbers or is this just not the right process to find efficiency?
 
Physics news on Phys.org
Update:
A7538912-430F-4FE2-8E1B-40BA7E591C49.jpeg

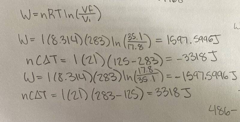
I think I might have figured it out but I’m not sure.
 
RandiSS said:
Update:View attachment 324922
I think I might have figured it out but I’m not sure.
I got it!
 
  • Like
Likes   Reactions: berkeman
where you get 0.0315 and 0.0178 from?
 
soulpassion said:
where you get 0.0315 and 0.0178 from?
"an isothermal expansion at 283 K from 17.8 L to 35.1 L"
For some reason, @RandiSS converted to kilolitres, but since only the ratio matters it makes no difference.
 
  • Like
Likes   Reactions: berkeman
soulpassion said:
where you get 0.0315 and 0.0178 from?
Maybe from here?
RandiSS said:
1) an isothermal expansion at 283 K from 17.8 L to 35.1 L;
 

Similar threads

Replies
14
Views
2K
  • · Replies 32 ·
2
Replies
32
Views
5K
Replies
3
Views
3K
Replies
1
Views
1K
  • · Replies 2 ·
Replies
2
Views
3K
  • · Replies 3 ·
Replies
3
Views
5K
  • · Replies 3 ·
Replies
3
Views
2K
  • · Replies 2 ·
Replies
2
Views
2K
  • · Replies 20 ·
Replies
20
Views
3K
  • · Replies 2 ·
Replies
2
Views
3K