Finding ∑fx and ∑fx^2 from the standard deviation and mean

Click For Summary

Homework Help Overview

The discussion revolves around finding the values of ∑f . x and ∑f . x^2 given the standard deviation, mean, and variance for a population. Participants are trying to reconcile their calculations with provided answers that seem inconsistent with their findings.

Discussion Character

  • Exploratory, Assumption checking, Problem interpretation

Approaches and Questions Raised

  • Participants attempt to use the definitions of mean and standard deviation to derive the sums, questioning their calculations when results do not match the given answers.
  • Some participants raise concerns about the definitions of population versus sample statistics and how that might affect the calculations.
  • There is discussion about the implications of the provided answers and whether they are feasible given the stated mean and standard deviation.

Discussion Status

The discussion is ongoing, with participants expressing doubts about the correctness of the provided answers. Some have attempted to create data sets to test the validity of the claims, indicating a productive exploration of the problem.

Contextual Notes

Participants note that the syllabus specifies certain definitions and formulas, leading to confusion regarding the application of sample versus population statistics. There is also mention of a specific number of responses that complicates the calculations.

albertrichardf
Messages
165
Reaction score
11

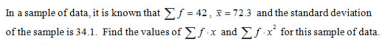
Homework Statement


This is not homework. This is a question given in class with the answers already given. Neither the teacher nor the students have been able to figure out how to obtain the answers though, so my question is how to find them?
Here is a picture of the question.
upload_2016-9-28_19-26-14.png


The standard deviation, mean and variance are all for a population. None of them are for a sample, since it is not in the syllabus.

The answer given is 492 for ∑f . x and 6114.1 for ∑f . x^2

Homework Equations


The definition of the mean is:
u = ∑(f . x)/∑f
The definition of the standard deviation is:
√v
where is the variance, which is equal to:

(∑(f. (x^2))/42 - u^2)

Which is the mean of the square minus the square of the mean.

The Attempt at a Solution



According to the definition of the mean, ∑f .x would be equal to 42u, since ∑f = 42. u = 72.3. This gives about 3036, which is obviously not equal to 492

Then, according to the definition of the variance, it is the square of the mean. Thus the square of 34.1 should be equal to ∑(f . (x^2)) - u^2/42. Thus:

42 * (34.1^2 + u^2) = ∑f . (x^2)

Plugging in u = 72.3 gives 268384.2, which is again a far cry from 6114.1

So my question is, what is it that I'm doing wrong, and how to obtain the given answers?
Thanks for any answers.
 
Physics news on Phys.org
Albertrichardf said:

Homework Statement


This is not homework. This is a question given in class with the answers already given. Neither the teacher nor the students have been able to figure out how to obtain the answers though, so my question is how to find them?
Here is a picture of the question.
View attachment 106611

The standard deviation, mean and variance are all for a population. None of them are for a sample, since it is not in the syllabus.
Actually, you are given ##\bar{x}## not ##\mu##. ##\bar{x}## is the sample mean, while ##\mu## is the population mean. The problem states that the sample standard deviation, s, is 34.1 which is generally somewhat larger than the population standard deviation, ##\sigma##.
Albertrichardf said:
The answer given is 492 for ∑f . x and 6114.1 for ∑f . x^2

Homework Equations


The definition of the mean is:
u = ∑(f . x)/∑f
The definition of the standard deviation is:
√v
where is the variance, which is equal to:

(∑(f. (x^2))/42 - u^2)

Which is the mean of the square minus the square of the mean.

The Attempt at a Solution



According to the definition of the mean, ∑f .x would be equal to 42u, since ∑f = 42. u = 72.3.

This gives about 3036, which is obviously not equal to 492
I get 3036 as well. Since your teacher is stumped by this problem, too, I begin to have doubts about the answers given for this problem.
Albertrichardf said:
Then, according to the definition of the variance, it is the square of the mean. Thus the square of 34.1 should be equal to ∑(f . (x^2)) - u^2/42. Thus:

42 * (34.1^2 + u^2) = ∑f . (x^2)

Plugging in u = 72.3 gives 268384.2, which is again a far cry from 6114.1

So my question is, what is it that I'm doing wrong, and how to obtain the given answers?
Thanks for any answers.
 
Alright. Thanks. Actually, I know that μ is supposed to the population mean, but the syllabus specifically states that xbar is the population mean. In fact, it mentions that there is no need to know about the sample calculations. The formulae given too are only for the population values.
Well, anyway reducing n by one does not make much of a difference. It does look impossible that a set of data such that the average value is 72.3 adds up to 429.
 
I agree with your method. As was noted above, you need a slight adjustment to your variance formula for sample data.
I built a data set that has the properties given, with 21 responses of 106, and 21 responses of 38.6. Doing tests on that clearly provide a counterargument to the so-called answers you posted.
 
Yeah it does seem weird. Unless the variables aren't what they are assumed to mean, which is improbable. Thanks for the answers
 

Similar threads

  • · Replies 4 ·
Replies
4
Views
3K
  • · Replies 10 ·
Replies
10
Views
2K
  • · Replies 42 ·
2
Replies
42
Views
7K
  • · Replies 2 ·
Replies
2
Views
2K
  • · Replies 9 ·
Replies
9
Views
5K
Replies
13
Views
3K
Replies
14
Views
2K
  • · Replies 2 ·
Replies
2
Views
2K
  • · Replies 6 ·
Replies
6
Views
2K
  • · Replies 3 ·
Replies
3
Views
2K