Finding Residues of a Function

  • Thread starter Thread starter asi123
  • Start date Start date
  • Tags Tags
    Function
Click For Summary

Homework Help Overview

The discussion revolves around finding the residues of the function f(z) = cos(1/(z-2)). Participants explore the use of Laurent series to identify the residue at the singularity and clarify the nature of the singularity present.

Discussion Character

  • Conceptual clarification, Assumption checking

Approaches and Questions Raised

  • Participants discuss the development of the Laurent series for the function and the implications of the coefficients, particularly focusing on the absence of the (z-2)-1 term. Questions arise regarding the nature of essential singularities and their relationship to residues.

Discussion Status

The conversation includes attempts to clarify the concept of residues in relation to essential singularities. Some participants express confusion about the definitions and implications, while others provide insights into the nature of the singularity and the calculation of residues.

Contextual Notes

There is mention of differing interpretations regarding the existence of residues at essential singularities, with references to external sources like Wikipedia contributing to the discussion.

asi123
Messages
254
Reaction score
0
residues 2 :)

Homework Statement



Ok, so I have this function and I need to find the residues for it.
I developed the function into Laurent series and my question is, how can I find a(-1) which is the residues?

Thanks in advance.


Homework Equations





The Attempt at a Solution

 

Attachments

  • scan0003.jpg
    scan0003.jpg
    13.3 KB · Views: 353
Physics news on Phys.org


The function is
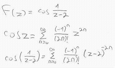
[tex]f(z)= cos(\frac{1}{z-2})[/tex]
and you correctly used the McLaurin series for cos(u), with u= 1/(z-2), to write the Laurent series
[tex]\sum_{n= 0}^\infty \frac{(-1)^n}{(2n)!} (z-2)^{-2n}[/tex]
Since the power of z- 2 is always even, there is no (z-2)-1 term: the coefficient is 0.

HOWEVER, because that series has an infinite number of negative powers with non-zero coefficient, z= 2 is an essential singularity, not a pole. There is NO residue.
 


HallsofIvy said:
The function is
[tex]f(z)= cos(\frac{1}{z-2})[/tex]
and you correctly used the McLaurin series for cos(u), with u= 1/(z-2), to write the Laurent series
[tex]\sum_{n= 0}^\infty \frac{(-1)^n}{(2n)!} (z-2)^{-2n}[/tex]
Since the power of z- 2 is always even, there is no (z-2)-1 term: the coefficient is 0.

HOWEVER, because that series has an infinite number of negative powers with non-zero coefficient, z= 2 is an essential singularity, not a pole. There is NO residue.

Oh, so an essential singularity has no residue?

Thanks.
 


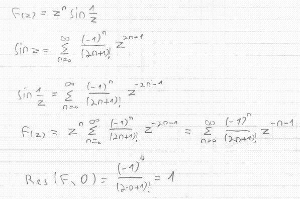
How about this one?

Thanks again.
 

Attachments

  • scan0004.jpg
    scan0004.jpg
    34 KB · Views: 369


HallsofIvy said:
The function is
[tex]f(z)= cos(\frac{1}{z-2})[/tex]
and you correctly used the McLaurin series for cos(u), with u= 1/(z-2), to write the Laurent series
[tex]\sum_{n= 0}^\infty \frac{(-1)^n}{(2n)!} (z-2)^{-2n}[/tex]
Since the power of z- 2 is always even, there is no (z-2)-1 term: the coefficient is 0.

HOWEVER, because that series has an infinite number of negative powers with non-zero coefficient, z= 2 is an essential singularity, not a pole. There is NO residue.

I am informed that, according to Wikipedia, I am wrong about this. That is, that the residue is still the coefficient of the -1 power in the Laurent series. The difference is just that the formula for the residue, taking the nth derivative where n is the order of the pole, cannot be used but you still can find it by finding the Laurent series itself. In the case of your first problem, the residue is 0 and for your new problem, it is 1.
 

Similar threads

  • · Replies 3 ·
Replies
3
Views
2K
Replies
2
Views
1K
Replies
6
Views
2K
  • · Replies 1 ·
Replies
1
Views
2K
Replies
4
Views
2K
Replies
3
Views
4K
  • · Replies 2 ·
Replies
2
Views
2K
  • · Replies 3 ·
Replies
3
Views
3K
  • · Replies 1 ·
Replies
1
Views
1K
  • · Replies 14 ·
Replies
14
Views
4K