Finding the center of mass of an arbitrary uniform triangle

Click For Summary

Homework Help Overview

The discussion revolves around finding the center of mass (CM) of an arbitrary uniform triangle defined by its vertices at specific coordinates. Participants explore the relationship between the geometric centroid and the use of calculus in deriving the CM coordinates.

Discussion Character

  • Exploratory, Conceptual clarification, Mathematical reasoning, Problem interpretation, Assumption checking

Approaches and Questions Raised

  • Participants discuss the setup of the triangle and the implications of placing the origin in relation to the triangle's vertices. There are questions about whether using the longest side on the x-axis is appropriate and how to handle the integration for finding the CM. Some express confusion about the necessity of calculus for a uniform triangle and the interpretation of integration in this context.

Discussion Status

There is an ongoing exploration of different methods to approach the problem, including integration and geometric reasoning. Some participants have provided guidance on setting up the integration limits and the functions to use, while others are still seeking clarity on the implications of their setups and calculations.

Contextual Notes

Participants are navigating through the constraints of the problem, including the arbitrary nature of the triangle's coordinates and the uniform mass distribution. There is an emphasis on understanding the geometric properties and the mathematical implications of their chosen coordinate systems.

John004
Messages
37
Reaction score
0

Homework Statement


1. Show that for an arbitrary uniform triangle ABC, with A at (x1, y1), B at (x2,y2), C at (x3, y3), the CM (xcm, ycm), is simply defined by xcm=(x1+x2+x3)/3, and ycm =(y1+y2+y3)/3

Homework Equations


xcm = 1/M * ∫xdm

ycm = 1/M * ∫ydm

M = ∫dm = ∫δdA where δ = M/A = dm/dA

for uniform mass distribution

M = δ∫dA

The Attempt at a Solution



I'm not really too sure on how to set up the triangle for this problem. My professor had a picture of an arbitrary triangle with the vertices at the specified coordinates. Would it be alright to place my origin with the longest side of the triangle lying on the x-axis and then both end points of that side connect to a point on the y-axis? The coordinates of the vertices from left to right would then be (x1,0), (0,y2), and (x3, 0). Would this defeat the purpose of the exercise? I'm pretty lost here.
 
Physics news on Phys.org
John004 said:

Homework Statement


1. Show that for an arbitrary uniform triangle ABC, with A at (x1, y1), B at (x2,y2), C at (x3, y3), the CM (xcm, ycm), is simply defined by xcm=(x1+x2+x3)/3, and ycm =(y1+y2+y3)/3

Homework Equations


xcm = 1/M * ∫xdm

ycm = 1/M * ∫ydm

M = ∫dm = ∫δdA where δ = M/A = dm/dA

for uniform mass distribution

M = δ∫dA

The Attempt at a Solution



I'm not really too sure on how to set up the triangle for this problem. My professor had a picture of an arbitrary triangle with the vertices at the specified coordinates. Would it be alright to place my origin with the longest side of the triangle lying on the x-axis and then both end points of that side connect to a point on the y-axis? The coordinates of the vertices from left to right would then be (x1,0), (0,y2), and (x3, 0). Would this defeat the purpose of the exercise? I'm pretty lost here.
If it's a uniform triangle, then the center of mass is the geometric centroid. You really don't need to use calculus for a uniform triangle.
 
diligentExplorer said:
If it's a uniform triangle, then the center of mass is the geometric centroid. You really don't need to use calculus for a uniform triangle.
How would I prove it then?
 
John004 said:
How would I prove it then?
The triangle's coordinates are arbitrary. They don't matter. When you want to find the average value of a set of data, you are finding the average value of a set of discrete data. When you integrate, you are finding the average value of a continuous function. Imagine now a function of TWO variables. It's domain will not be a "line" (such as a subset of the x-axis) but a region of the x-y plane. And it's range will be the density. The triangle shape is a domain. But you don't have to jump into multi-variate calculus since f(x, y) = 1, or any other arbitrary constant. It's uniform. So first use integration to find the sum of all "x values times density at that location (constant here)" and the sum of all "y values times density at that location (constant here)" in the domain. Then use integration to find the "average x value" and "average y value" for every possible point. The domain itself is bounded by linear functions, so your result will be a simple average. I won't set up a single equation for you because you need to figure this out on your own. This is a very basic concept that, while hard to grasp at first, should be burned into your psyche.
 
diligentExplorer said:
So first use integration to find the sum of all "x values times density at that location (constant here)" and the sum of all "y values times density at that location (constant here)" in the domain. Then use integration to find the "average x value" and "average y value" for every possible point. The domain itself is bounded by linear functions, so your result will be a simple average. I won't set up a single equation for you because you need to figure this out on your own. This is a very basic concept that, while hard to grasp at first, should be burned into your psyche.
I did not really understand what you meant by this.
 
John004 said:
I did not really understand what you meant by this.
This is the set up that I'm thinking about, not sure if its okay though.
 

Attachments

  • cm hw.jpg
    cm hw.jpg
    35.2 KB · Views: 881
John004 said:
This is the set up that I'm thinking about, not sure if its okay though.
It is all right, but you have to substitute the y(x) functions for both domains ( from 0 to x2 and from x2 to x3)
 
ehild said:
It is all right, but you have to substitute the y(x) functions for both domains ( from 0 to x2 and from x2 to x3)
so from 0 to x2 I can use y(x) = (y2/x2)x and from x2 to x3 y(x) = qx - qx3 Where q = -y2/(x3-x2) ?
 
John004 said:
so from 0 to x2 I can use y(x) = (y2/x2)x and from x2 to x3 y(x) = qx - qx3 Where q = -y2/(x3-x2) ?
Right.
 
  • #10
ehild said:
Right.
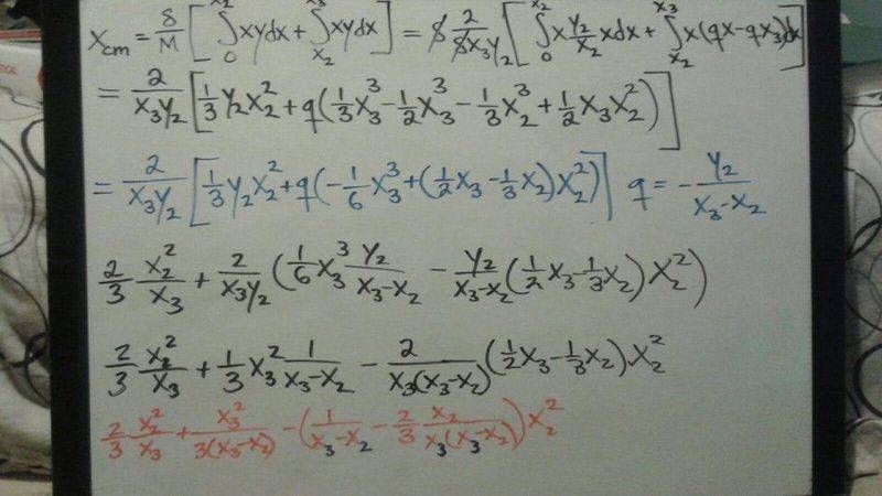
So I tried to do the calculation but I think I am doing something wrong cause I am ending up with a long expression that I can't seem to simplify.
 

Attachments

  • cm hw 2.jpg
    cm hw 2.jpg
    46.2 KB · Views: 656
  • #11
John004 said:
So I tried to do the calculation but I think I am doing something wrong cause I am ending up with a long expression that I can't seem to simplify.
Yes, it will be a long expression, but it simplifies. Do the integral first, without M and ρ. When substituting the limits, the x3-x2 term appears both in the numerator and denominator, you can cancel it. Remember, that a2-b2=(a-b)(a+b) and
a3-b3=(a-b)(a2+ab+b2).
 
  • #12
ehild said:
Yes, it will be a long expression, but it simplifies. Do the integral first, without M and ρ. When substituting the limits, the x3-x2 term appears both in the numerator and denominator, you can cancel it. Remember, that a2-b2=(a-b)(a+b) and
a3-b3=(a-b)(a2+ab+b2).
I keep evaluating the integral and I am really not seeing how the x3 - x2 cancels...
 
  • #13
upload_2017-1-15_0-17-18.png

Find the common denominator and express this as a single fraction. Simplify.
 
  • #14
TSny said:
View attachment 111589
Find the common denominator and express this as a single fraction. Simplify.
ah jeez after trying like a million times I finally got it lol I ended up with xcm = (x3 + x2)/3
Do you feel this constitutes a proof of what was originally asked since I made x1 = 0 my defining my origin in the way that I did?
 
  • #15
John004 said:
ah jeez after trying like a million times I finally got it lol I ended up with xcm = (x3 + x2)/3
Do you feel this constitutes a proof of what was originally asked since I made x1 = 0 my defining my origin in the way that I did?
You defined the horizontal coordinate with respect to x1. In principle, you used the variable u=x-x1. The integration happened with respect to u, and the limits were 0, u2 and u3. So the u coordinate of the CM is ucm=(u2+u3)/3.
In terms of x, it is
xcm-x1=[(x2-x1)+(x3-x1)]/3--->xcm=x1+[(x2-x1)+(x3-x1)]/3=(x1+x2+x3)/3
 
  • #16
ehild said:
You defined the horizontal coordinate with respect to x1. In principle, you used the variable u=x-x1. The integration happened with respect to u, and the limits were 0, u2 and u3. So the u coordinate of the CM is ucm=(u2+u3)/3.
In terms of x, it is
xcm-x1=[(x2-x1)+(x3-x1)]/3--->xcm=x1+[(x2-x1)+(x3-x1)]/3=(x1+x2+x3)/3
Wouldn't that change of variables just slide the triangle so that vertex A lies on the y-axis? the way I defined my origin would be that change of variables plus something that slides vertex A up or down so that it is exactly at (0,0) and something else that rotates vertex C down to lies on the x-axis. Am I thinking about this correctly?
 
  • #17
John004 said:
Wouldn't that change of variables just slide the triangle so that vertex A lies on the y-axis? the way I defined my origin would be that change of variables plus something that slides vertex A up or down so that it is exactly at (0,0) and something else that rotates vertex C down to lies on the x-axis. Am I thinking about this correctly?
I spoke about the x variable. You can do the same with y.
 
  • #18
ehild said:
I spoke about the x variable. You can do the same with y.
So I can define u = x - x1 and v = y - y1 as you said and that would place vertex A at the origin, but how can I now rotate the triangle while holding vertex A fixed so that vertex C lies on the x-axis?
 
  • #19
John004 said:
So I can define u = x - x1 and v = y - y1 as you said and that would place vertex A at the origin, but how can I now rotate the triangle while holding vertex A fixed so that vertex C lies on the x-axis?
Would I have to define a new variable such that r = v - v3?
 
  • #20
John004 said:
Would I have to define a new variable such that r = v - v3?
Make a picture and show what you mean.
The integration can be performed for the general position of the triangle, integration between the sides, with respect to x (first picture) or y (second picture).

upload_2017-1-16_5-2-25.png
 
  • #21
It is easy to argue that the center of mass lies at the intersection of the medians of the triangle. Using geometry you can prove that the point of intersection of the medians divides each median into two segments that are in a 2 to 1 ratio (indicated by the [2] and [1] on the median drawn in the diagram below). Find an expression for ##x_c## in terms of the x-coordinates of the gray and blue points on the x-axis.
upload_2017-1-17_23-14-44.png
 

Similar threads

Replies
4
Views
1K
  • · Replies 3 ·
Replies
3
Views
3K
  • · Replies 3 ·
Replies
3
Views
4K
  • · Replies 2 ·
Replies
2
Views
4K
  • · Replies 5 ·
Replies
5
Views
2K
  • · Replies 5 ·
Replies
5
Views
14K
  • · Replies 1 ·
Replies
1
Views
2K
  • · Replies 17 ·
Replies
17
Views
7K
Replies
2
Views
4K
  • · Replies 6 ·
Replies
6
Views
6K