Finding the domain for a rational function.

Click For Summary
SUMMARY

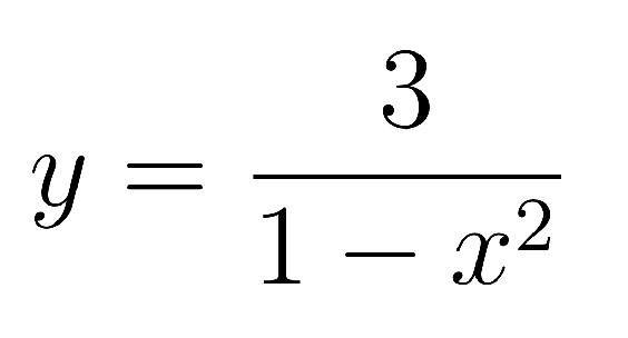
The domain of the rational function is defined as all real numbers except for 1 and the values that make the denominator equal to zero. Specifically, the function excludes the value of 1 and the solutions to the equation 1 - x² = 0, which are x = ±1. The range of the function is determined to be y < 0 and y ≥ 3, indicating that the function approaches these values but does not include them. This analysis is crucial for understanding the behavior of rational functions without the need for graphical representation.

PREREQUISITES
  • Understanding of rational functions
  • Knowledge of domain and range concepts
  • Familiarity with solving inequalities
  • Basic algebra skills
NEXT STEPS
  • Study how to solve rational inequalities
  • Learn about asymptotic behavior in rational functions
  • Explore the concept of limits in relation to rational functions
  • Investigate the use of the Rational Root Theorem
USEFUL FOR

Students studying algebra, mathematics educators, and anyone looking to deepen their understanding of rational functions and their properties.

cavalieregi
Messages
41
Reaction score
0
Hi I have the function
ImageUploadedByPhysics Forums1402359003.204534.jpg


I have worked out the domain as not equal to 1 using the fact the denominator can't equal 0. Now I am stuck finding the range. How would I find it without graphing. The answer is y<0 , y=>3.
 
Physics news on Phys.org
cavalieregi said:
Hi I have the function
View attachment 70478

I have worked out the domain as not equal to 1 using the fact the denominator can't equal 0.
There's one more value of ##x## which must be excluded.
Now I am stuck finding the range. How would I find it without graphing. The answer is y<0 , y=>3.
After excluding ##1-x^2 = 0##, you are left with either ##1 - x^2 < 0## or ##1 - x^2 > 0##. Try writing these inequalities in terms of ##x## instead of ##x^2##.
 

Similar threads

  • · Replies 11 ·
Replies
11
Views
3K
  • · Replies 15 ·
Replies
15
Views
3K
  • · Replies 7 ·
Replies
7
Views
2K
  • · Replies 3 ·
Replies
3
Views
2K
  • · Replies 23 ·
Replies
23
Views
3K
  • · Replies 3 ·
Replies
3
Views
3K
  • · Replies 14 ·
Replies
14
Views
4K
  • · Replies 10 ·
Replies
10
Views
2K
  • · Replies 7 ·
Replies
7
Views
2K
  • · Replies 22 ·
Replies
22
Views
2K