Finding the limits of a piecewise function

Click For Summary

Homework Help Overview

The discussion revolves around determining the continuity of a piecewise function at a specific point, with a focus on understanding limits as they approach that point. Participants are analyzing a rational function with a cubic numerator and a quadratic denominator.

Discussion Character

  • Exploratory, Assumption checking, Conceptual clarification

Approaches and Questions Raised

  • Participants explore the limits of the function as x approaches 0 and 3, questioning the continuity at these points. There is discussion about the implications of the function being undefined at certain values and the relevance of the limit to the overall continuity.

Discussion Status

Some participants have offered guidance on how to approach the limit calculations, suggesting that the focus should be on specific points of interest. There is an ongoing exploration of whether the problem's framing is appropriate, particularly regarding the mention of an undefined variable c.

Contextual Notes

There is mention of potential distractions in the problem setup, particularly concerning the point x = 3, which some participants feel is not relevant to the limit being investigated. The original poster's understanding of the function's behavior at x = 0 is also under scrutiny.

NP04
Messages
23
Reaction score
1
Homework Statement
Determine whether f is continuous at c.
(see image for piecewise function f)

EDIT: Sorry if it is a little blurry that is x^3 in the numerator of the rational function and x^2 in the denominator
Relevant Equations
Basic understanding of limits
Problem Statement: Determine whether f is continuous at c.
(see image for piecewise function f)

EDIT: Sorry if it is a little blurry that is x^3 in the numerator of the rational function and x^2 in the denominator
Relevant Equations: Basic understanding of limits

Screen Shot 2019-06-01 at 5.58.08 PM.png


My work:
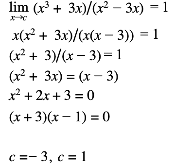
Screen Shot 2019-06-01 at 6.26.38 PM.png


Since the limit as x approaches 1 is equal to 1, for the first piecewise function, the limit of the second piecewise function cannot be equal to 1 otherwise the function would be undefined. Therefore the graph is not continuous as it does not have distinct y values.

Is this the correct reasoning and solution to this problem?
 
Physics news on Phys.org
NP04 said:
Problem Statement: Determine whether f is continuous at c.
(see image for piecewise function f)

EDIT: Sorry if it is a little blurry that is x^3 in the numerator of the rational function and x^2 in the denominator
Relevant Equations: Basic understanding of limits

View attachment 244450

My work:
View attachment 244453

Since the limit as x approaches 1 is equal to 1, for the first piecewise function, the limit of the second piecewise function cannot be equal to 1 otherwise the function would be undefined. Therefore the graph is not continuous as it does not have distinct y values.

Is this the correct reasoning and solution to this problem?
No, it is not correct. And you cannot write ##\lim_{x\to c}\dfrac{x^3+3x}{x^2-3x} = 1## for any ##c## as long as you do not know. The interesting limits are those with ##x \to 0## and ##x \to 3## since in both cases the denominator vanishes. Therefore you should start with $$\lim_{\stackrel{x\longmapsto 0}{x\neq 0}}\dfrac{x^3+3x}{x^2-3x} = \ldots $$ and calculate it. Then do the same with $$\lim_{\stackrel{x\longmapsto 3}{x > 3}}\dfrac{x^3+3x}{x^2-3x} = \ldots $$ and $$\lim_{\stackrel{x\longmapsto 3}{0<x < 3}}\dfrac{x^3+3x}{x^2-3x} = \ldots $$

This should give you an idea what happens at these two points.
 
  • Like
Likes   Reactions: NP04
fresh_42 said:
No, it is not correct. And you cannot write ##\lim_{x\to c}\dfrac{x^3+3x}{x^2-3x} = 1## for any ##c## as long as you do not know. The interesting limits are those with ##x \to 0## and ##x \to 3## since in both cases the denominator vanishes. Therefore you should start with $$\lim_{\stackrel{x\longmapsto 0}{x\neq 0}}\dfrac{x^3+3x}{x^2-3x} = \ldots $$ and calculate it. Then do the same with $$\lim_{\stackrel{x\longmapsto 3}{x > 3}}\dfrac{x^3+3x}{x^2-3x} = \ldots $$ and
Apparently the problem is asking for ##\lim_{x \to 0}f(x)##, so it's of no concern what's happening around x = 3.
fresh_42 said:
$$\lim_{\stackrel{x\longmapsto 3}{0<x < 3}}\dfrac{x^3+3x}{x^2-3x} = \ldots $$

This should give you an idea what happens at these two points.
 
Mark44 said:
Apparently the problem is asking for ##\lim_{x \to 0}f(x)##, so it's of no concern what's happening around x = 3.
But a good exercise.
 
Best approach to gain some intuitive insight is to graph the given function.
 
fresh_42 said:
But a good exercise.

I'm not sure of that, at least as quoted. If the question is what is the limit of ##f(x)## as ##x→0## why not just ask that? What has this undefined ##c## got to do with anything?

The quoted fraction is obviously discontinuous at ##x=3## and continuous at ##x=0## where its value is -1 and there is nothing special about it; however as the definition of ##f## requires ##f(0)## to be 1, this value is different from the limiting value of the traction as ##x→0## and therefore the function is discontinuous at that point, will that do?
 
I used to derive as many properties of a given function, including its graph. I still think that this is a good method to get as many information as possible. And as the given problem is of the kind "introduction to limits", the point ##x=3## serves as a good example that left and right limits don't have to be the same. This makes it a good exercise in the context.
 
You don't need to worry about x = 3 as it wasn't addressed in the question and only adds distraction here.

Just a general statement: when you encounter a rational function (polynomial divided by polynomial) and are asked to investigate a limit, factor the numerator and denominator when possible and cancel any factors common to both. EVEN IF you cancel factors that include the point asked about in the limit you are ok because limit problems investigate what occurs near a point, not at a point.
 

Similar threads

  • · Replies 9 ·
Replies
9
Views
3K
Replies
30
Views
3K
Replies
3
Views
1K
  • · Replies 4 ·
Replies
4
Views
2K
  • · Replies 11 ·
Replies
11
Views
2K
  • · Replies 5 ·
Replies
5
Views
2K
Replies
4
Views
4K
  • · Replies 7 ·
Replies
7
Views
1K
  • · Replies 7 ·
Replies
7
Views
3K
  • · Replies 3 ·
Replies
3
Views
1K