Finding the magnetic flux from a 3 Dimensional Shape

Click For Summary

Homework Help Overview

The discussion revolves around calculating the magnetic flux through the faces of a box in a uniform magnetic field of 0.2 T. Participants are exploring how to determine which faces contribute to the magnetic flux and the implications of the sign convention for flux in a closed surface.

Discussion Character

  • Exploratory, Assumption checking, Conceptual clarification

Approaches and Questions Raised

  • Participants discuss the necessity of considering faces that are not perpendicular to the magnetic field, questioning the assumptions about which faces contribute to the flux. There is also exploration of the sign convention for flux and its implications for closed surfaces.

Discussion Status

Some participants have provided clarifications regarding the nature of closed surfaces and the conditions under which total flux is considered zero. There is ongoing exploration of the contributions of different faces of the box and the implications of the uniform magnetic field on the calculations.

Contextual Notes

Participants are navigating the complexities of magnetic flux calculations, including the effects of face orientation and the sign convention for entering and exiting flux. There is mention of potential misconceptions regarding the nature of closed surfaces and the uniformity of the magnetic field.

Vladi

Homework Statement


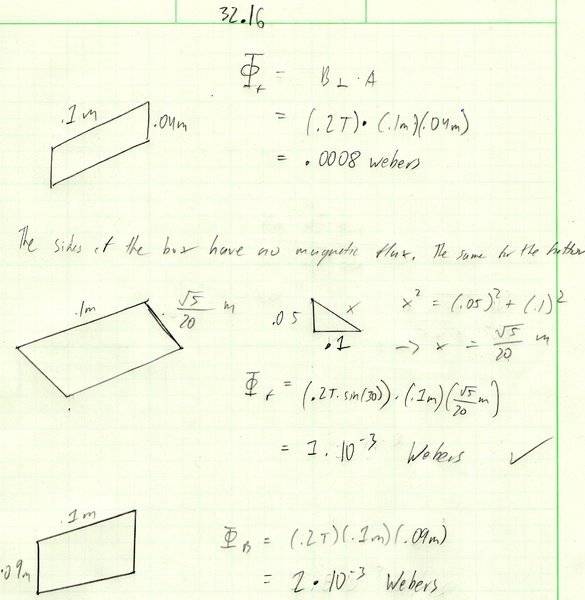
In Fig. 32-9 there is a + x-directed uniform magnetic field of 0.2 T filling the space. Find the magnetic flux through each face of the box shown.

Homework Equations


ΦM = B ⊥ A = BA cos θ

The Attempt at a Solution


My attempt is attached to this post. How do I determine which faces have magnetic flux? I assumed it was only the faces that are perpendicular to the magnetic field, but my books key says otherwise. Thank your for your time.
upload_2017-9-6_14-40-59.png
3d shape.jpg
 
Physics news on Phys.org
OK. As you calculated correctly, there is flux through the sloping face even though that face is not perpendicular to the field.

I guess you rounded each answer to only 1 significant figure since the data is given to only one significant figure. OK.

Are you supposed to consider the sign of the flux? The entire surface of the box is a closed surface. The usual convention is that flux is considered negative wherever the flux enters a closed region and positive where it exits. With this sign convention, the total flux through a closed surface should be zero when the field is uniform.
 
  • Like
Likes   Reactions: Vladi
TSny said:
OK. As you calculated correctly, there is flux through the sloping face even though that face is not perpendicular to the field.

I guess you rounded each answer to only 1 significant figure since the data is given to only one significant figure. OK.

Are you supposed to consider the sign of the flux? The entire surface of the box is a closed surface. The usual convention is that flux is considered negative wherever the flux enters a closed region and positive where it exits. With this sign convention, the total flux through a closed surface should be zero when the field is uniform.
If the total flux is zero, does this mean that the surface must be closed and have only one kind of shape(triangle, rectangle, etc)? If this were true, the top face would be equal to zero, but it ain't. Doesn't this imply there are three conditions to consider when you are deciding if the total flux is zero? The surface must be closed, have only one kind of shape, and can't be inclined? If these three conditions hold true, I would say that the back, bottom, and front face is equal to zero. Correct me if I'm wrong.
 
A "closed surface" is a surface that completely encloses a volume of space. The 6 faces of your box, all together, make a closed surface; i.e., they completely enclose a volume of space (the inside of the box). An individual face, such as the top of the box, does not represent a closed surface. A closed surface can have any shape as long as it completely encloses a volume. The surface of a balloon is a closed surface even if you deform the shape of the surface by squeezing the balloon.

For any closed surface, no matter what it's shape, the total flux through the entire surface will be zero for a uniform field. This assumes that you adopt the sign convention for flux mentioned earlier. (The flux through a closed surface might be zero even if the field is not uniform, but you'll learn the conditions for that when you cover Gauss' law.)

So, the total flux for the entire surface of your box should be zero if you consider the signs of the flux for the individual faces. As a check of your work, you can see if you get a total flux of zero.
 
Your previous reply cleared many of my misconceptions. What about the bottom and the sides? Do I ignore them? They aren't perpendicular to the magnetic field and I don't understand how flux can enter or exit them. Should I think of a flash light when I solve such problems? If I point a flashlight in the positive x direction, the top region and the front region would cast a shadow. The back, sides, and the bottom would be bright.
 
Last edited by a moderator:
a.jpg
d.jpg

The sum of flux is close to zero. Does this look good? Or do I have a sign error? Thank you for your time.
 
Last edited by a moderator:
In your first post you said the flux through the bottom and the flux through the front and back trapezoidal sides are zero. That's correct. But now you are calculating them to be nonzero. Why the change?

I don't believe you calculated the areas correctly for the bottom or the trapezoidal sides. But the values of these areas don't matter since the flux is zero due to the orientation of these faces.
 
I think I finally got it. The flux entering a closed region is negative. The flux exiting a closed region is positive. The front,back, and bottom regions are zero because no flux is entering or exiting these regions. The sum of the entering and exiting fluxes is zero.
finally.jpg
 
Yes, that's it. Good.

Keep in mind that this is a special case where you have a uniform E field. When the field is nonuniform, the total flux through a closed surface could be zero or nonzero.
 
  • #10
TSny said:
Yes, that's it. Good.

Keep in mind that this is a special case where you have a uniform E field. When the field is nonuniform, the total flux through a closed surface could be zero or nonzero.
I will. Thank you for all your help.
 
  • #11
Just realized that you are dealing with a B field, not an E field. But the idea is the same.
 
  • Like
Likes   Reactions: Vladi

Similar threads

  • · Replies 3 ·
Replies
3
Views
2K
  • · Replies 2 ·
Replies
2
Views
4K
  • · Replies 8 ·
Replies
8
Views
6K
  • · Replies 2 ·
Replies
2
Views
3K
  • · Replies 5 ·
Replies
5
Views
6K
  • · Replies 4 ·
Replies
4
Views
2K
  • · Replies 4 ·
Replies
4
Views
2K
Replies
4
Views
6K
Replies
8
Views
7K
Replies
2
Views
3K