Fourier series (maybe) of e^x from 0 to 2pi

Click For Summary
SUMMARY

The discussion focuses on deriving the Fourier series for the function \( e^x \) over the interval from 0 to \( 2\pi \). The user initially attempted to find the Fourier series from \(-2\pi\) to \(2\pi\) but faced challenges in simplifying the terms involving \( \cos(nx/2) \) and \( \sin(nx/2) \). The recommended approach is to utilize the complex Fourier series, specifically using the formula \( C_n = \frac{1}{2\pi}\int_{0}^{2\pi} e^x e^{-in\pi x/\pi}\, \mathrm{d}x \), leading to the result \( C_n = \frac{e^{2\pi}-1}{2\pi(1-in)} \).

PREREQUISITES
  • Understanding of Fourier series and their applications
  • Familiarity with complex analysis and exponential functions
  • Knowledge of integration techniques, particularly definite integrals
  • Basic grasp of periodic functions and their properties
NEXT STEPS
  • Study the derivation of complex Fourier series in detail
  • Learn about the properties of exponential functions in Fourier analysis
  • Explore integration techniques for complex functions
  • Investigate the implications of periodicity in Fourier series
USEFUL FOR

Mathematicians, physics students, and engineers interested in signal processing or harmonic analysis will benefit from this discussion, particularly those looking to understand the Fourier series representation of exponential functions.

iceblits
Messages
111
Reaction score
0
Hey,
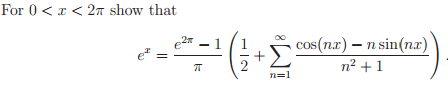
I have to show:
math_problem.png


Should I try to find the Fourier series from -2pi to 2pi? I have tried this already but I can't seem to get rid of the cos(nx/2) and sin(nx/2) to turn them into just sin(nx) and cos(nx) and the denominator stays as (n^2+4 instead of n^2+1.

Any suggestions would be very helpful.
 
Physics news on Phys.org
It's probably easiest to use the complex Fourier series.
$$
f(x)=e^x=\sum_{-\infty}^\infty C_n e^{in\pi x/\ell}\text{, where}\\
C_n=\frac{1}{2\ell}\int_{-\ell}^\ell f(x)e^{-in\pi x/\ell}\, \mathrm{d}x\text{.}
$$
The range of integration will be a little different in your case. You can picture ##e^x## as being a function that repeats every ##2\pi##. Effectively, ##\ell=\pi##, but you're not integrating symmetrically about the origin.
$$
C_n=\frac{1}{2\pi}\int_{0}^{2\pi} e^xe^{-in\pi x/\pi}\, \mathrm{d}x=\frac{1}{2\pi}\int_{0}^{2\pi}e^{(1-in)x}\, \mathrm{d}x\\
=\frac{1}{2\pi(1-in)}e^{(1-in)x}\big|_0^{2\pi}\\
=\frac{e^{2\pi}-1}{2\pi(1-in)}=C_n
$$
I should probably let you handle it from here. Use the expression given for ##f(x)## above.
 

Similar threads

  • · Replies 7 ·
Replies
7
Views
4K
  • · Replies 4 ·
Replies
4
Views
3K
  • · Replies 4 ·
Replies
4
Views
4K
Replies
28
Views
6K
  • · Replies 14 ·
Replies
14
Views
3K
  • · Replies 33 ·
2
Replies
33
Views
4K
Replies
1
Views
1K
  • · Replies 1 ·
Replies
1
Views
2K
  • · Replies 4 ·
Replies
4
Views
3K
  • · Replies 3 ·
Replies
3
Views
3K