Fourier series odd and even functions

Click For Summary

Homework Help Overview

The discussion revolves around the topic of Fourier series, specifically focusing on the expansion of a function into a Fourier series and the characteristics of odd and even functions in this context.

Discussion Character

  • Exploratory, Conceptual clarification

Approaches and Questions Raised

  • Participants express confusion regarding the application of the Fourier series definition and the specific function to be expanded. Questions arise about the inclusion of sine terms in the expansion and the overall definition of a Fourier series.

Discussion Status

The conversation is ongoing, with participants seeking clarification on the function involved and the steps taken in the Fourier series expansion. Some guidance has been offered regarding the definition of the Fourier series, but there is no explicit consensus on the next steps.

Contextual Notes

There appears to be missing information regarding the specific function f(x) that is to be expanded, which is critical for progressing in the discussion.

robertjford80
Messages
388
Reaction score
0

Homework Statement



Screenshot2012-06-17at55656AM.png





The Attempt at a Solution



I don't understand the step above. It has something to do with this equation

Screenshot2012-06-17at55946AM.png


I think. I'm supposed to expand it into an appropriate Fourier series.
 
Physics news on Phys.org
You haven't given us enough information. What is f(x)? You were probably given a function and asked to expand it in a sine series.
 
The "step above" is just applying the definition of the Fourier series:
Are you saying you do not know what that is?
 
here is some more info

Screenshot2012-06-17at70852PM.png


Screenshot2012-06-17at70757PM.png


Screenshot2012-06-17at70808PM.png


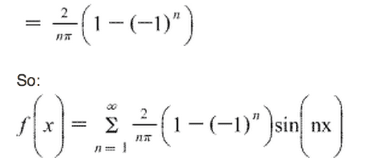
I don't understand why they're adding the sin on to that last step.
 
robertjford80 said:
I don't understand why they're adding the sin on to that last step.


What is the definition of a Fourier series?
 

Similar threads

  • · Replies 3 ·
Replies
3
Views
2K
Replies
3
Views
2K
Replies
3
Views
2K
  • · Replies 2 ·
Replies
2
Views
2K
  • · Replies 6 ·
Replies
6
Views
2K
  • · Replies 6 ·
Replies
6
Views
2K
  • · Replies 6 ·
Replies
6
Views
2K
  • · Replies 1 ·
Replies
1
Views
2K
  • · Replies 2 ·
Replies
2
Views
1K
  • · Replies 1 ·
Replies
1
Views
2K