Understanding Odd and Even Functions in Double Integrals

Click For Summary

Homework Help Overview

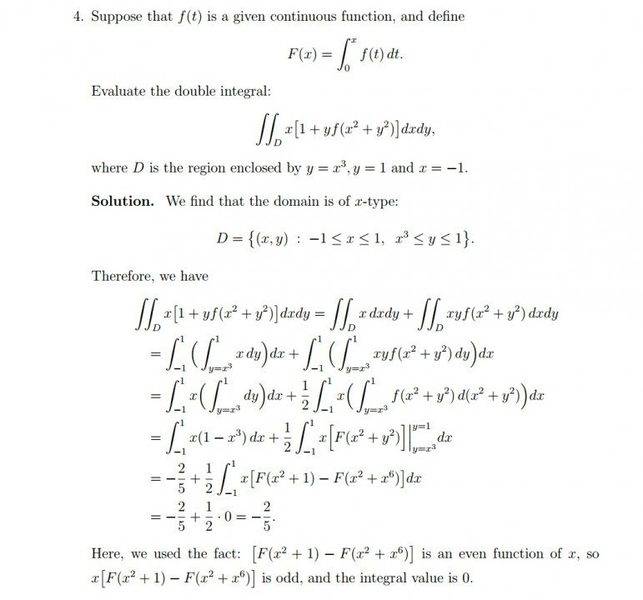
The discussion revolves around understanding the concepts of odd and even functions in the context of double integrals. Participants are exploring how these properties affect integration outcomes, particularly when the integral evaluates to zero.

Discussion Character

  • Conceptual clarification, Assumption checking, Mixed

Approaches and Questions Raised

  • The original poster seeks clarification on the definitions of odd and even functions and their implications for integration results. Some participants question how the presence of a negative sign between two even functions might yield an odd function. Others discuss specific functions, such as ##x^2 - x^4##, and whether they are classified as even, odd, or neither.

Discussion Status

Participants are actively engaging with the concepts, with some providing insights into the nature of even and odd functions. There is a mix of agreement on certain points, but also some confusion regarding specific examples and the implications for integration.

Contextual Notes

There appears to be a focus on the properties of functions in relation to double integrals, with references to specific mathematical resources. Some participants express uncertainty about the original poster's understanding of the topic.

Evilavatar2
Messages
6
Reaction score
1

Homework Statement



Hi, I am not asking for solution for any problem as i already have the given solution for the problem. Instead, what i want clarify is what do they mean by the odd and even function and how do they get 0? Also, is there a need to change the order from dxdy to dydx?
 

Attachments

  • IMG_20170303_130229.jpg
    IMG_20170303_130229.jpg
    34.1 KB · Views: 557
Physics news on Phys.org
Last edited by a moderator:
PeroK said:
If the function ##x^2 - x^4## even or odd or neither?

It's even.

If the all exponential numbers are even the function is even, if all are odd function is odd and if there are both odd and even exponential numbers the functions is neither odd nor even.
 
mastermechanic said:
It's even.

And the sum of any two even functions?
 
PeroK said:
And the sum of any two even functions?

I edited my answer read again
 
mastermechanic said:
It's even.

If the all exponential numbers are even the function is even, if all are odd function is odd and if there are both odd and even exponential numbers the functions is neither odd nor even.

If you want to generalise, you should be thinking about general even and odd functions.

Are you still confused about he one in your integral?

If so, try plugging in ##x = 1## and ##x = -1##, say, and see how the function values compare.
 
PeroK said:
If you want to generalise, you should be thinking about general even and odd functions.

Are you still confused about he one in your integral?

If so, try plugging in ##x = 1## and ##x = -1##, say, and see how the function values compare.

I'm not the one who confused about the even-odd functions :D You should say it to topic owner
 
  • Like
Likes   Reactions: PeroK
  • #10
mastermechanic said:
I'm not the one who confused about the even-odd functions :D You should say it to topic owner

Sorry! Although, I'm not sure why you jumped in and answered the question I asked the OP?
 
  • #11
PeroK said:
Sorry! Although, I'm not sure why you jumped in and answered the question I asked the OP?

I thought you asked because you really don't know it that's why I answered
 
  • Like
Likes   Reactions: PeroK
  • #12
PeroK said:
Sorry! Although, I'm not sure why you jumped in and answered the question I asked the OP?
Thanks a lot! i got it.
 
  • Like
Likes   Reactions: Simon Bridge

Similar threads

Replies
4
Views
3K
  • · Replies 3 ·
Replies
3
Views
2K
Replies
2
Views
2K
Replies
25
Views
3K
  • · Replies 10 ·
Replies
10
Views
2K
Replies
4
Views
2K
Replies
10
Views
2K
  • · Replies 4 ·
Replies
4
Views
2K
  • · Replies 2 ·
Replies
2
Views
2K
  • · Replies 1 ·
Replies
1
Views
2K