Fresnel zones of a planar wavefront

  • Thread starter Thread starter JulienB
  • Start date Start date
  • Tags Tags
    Fresnel Wavefront
Click For Summary

Homework Help Overview

The discussion revolves around determining the area of the l-th Fresnel zone of a planar wavefront from a point P, specifically focusing on the numerical result for the 1st Fresnel zone given a wavelength of 600 nm and a distance of 0.5 m. Participants are exploring how to adapt results from a previous problem involving spherical wavefronts to the planar case.

Discussion Character

  • Exploratory, Conceptual clarification, Mathematical reasoning, Problem interpretation

Approaches and Questions Raised

  • Participants are attempting to modify the expression for the area of the Fresnel zone from a spherical to a planar wavefront, questioning how certain parameters like distance and geometry change in this context. There is discussion about the implications of removing terms proportional to λ² and how that affects the calculations.

Discussion Status

There are multiple lines of reasoning being explored, with some participants suggesting potential simplifications and others questioning the assumptions made about the geometry of the problem. Guidance has been offered regarding the interpretation of Fresnel zones and the use of phasor diagrams, but no consensus has been reached on the final approach or calculations.

Contextual Notes

Participants note that the previous problem involved a curved surface, which adds complexity to the current planar scenario. There is also mention of the obliquity factor and its effect on the phasor diagram, indicating that the discussion is still in a formative stage with various interpretations being considered.

JulienB
Messages
408
Reaction score
12

Homework Statement



Hi everybody! I'd like to ask you guys some details about the following problem:

Determine the area of the l-th Fresnel zone of a planar wavefront considered from a point P. Give the numerical result for the 1st Fresnel zone for a wavelength ##\lambda=600##nm and a distance wavefront-P of ##0.5##m. How big is the error, if the term proportional to ##\lambda^2## would be removed?
Hint: use the result from the previous problem by changing it from a spherical to a planar wavefront.

Homework Equations



The previous problem mentioned in the hint was about determining the area of the l-th Fresnel zone for a spherical wave. Integration gave me the result ##A_l = \frac{\lambda \pi \rho}{\rho + r_0} \big(r_0 + \frac{(2l - 1) \lambda}{4}\big)## and I concluded that the ratio ##A_l/r_l## is independent of l (where ##r_l## is the average distance to P from the Fresnel zone).

The Attempt at a Solution



I am stuck right at the beginning because I am not really sure how to "change" ##A_l## for a planar wavefront situation. When I look at the elements of:

##A_l = \frac{\lambda \pi \rho}{\rho + r_0} \big(r_0 + \frac{(2l - 1) \lambda}{4}\big)##,

I see the following:

- the denominator ##\rho + r_0## refers to the distance between the source and the observation point. This stays the same with a planar wavefront I believe;
- the ##\pi## element comes from having a "ring" on the sphere. But I think this element also stays since the Fresnel zones are still rings for a planar wavefront (right?);
- ##\rho## was constant for a spherical wave, and it remains constant for a planar wavefront if we consider it to be the distance between the wavefront and the source (a plane). However the distance (say ##x##) to a theoretical source point (so that the distance between S on the source plane and P would be minimal) would not be constant anymore. Using the law of cosines as I did for the previous problem, I find the expression ##r^2 = x^2 + (\rho + r_0)^2 - 2 x (\rho + r_o) \cos \varphi## but it does not really take me anywhere I'm afraid.

I must be thinking something wrong, or misunderstanding the "hint". Do you guys have another hint? :biggrin:

Thank you in advance for your answer, I'm looking forward to reading them.Julien.
 
Physics news on Phys.org
One idea I just had would be to take the expression ##\frac{A_l}{r_l} = \frac{\lambda \pi \rho}{\rho + r_0}## which should hold for a planar wavefront since ##r_l = r_0 + \frac{(2l-1) \lambda}{4}## is independent of ##\rho##. Then the rest of the work would be to find an expression for ##\rho## corresponding to a planar wavefront, in which I am unsuccessful so far. Does that make sense though?
 
Hello again. The Fresnel zone theory is basically used with plane waves in a plane that can be used to compute the intensity at an on-axis point P. (It considers each point in the original plane as a Huygen's source and diffraction theory is used to compute the intensity at point P=again, usually on-axis.) The Fresnel zones (circular rings) have places where the interference is constructive, (phase between ## -\pi/2 ## and ## + \pi/2 ##),and regions where it is destructive.(You can look at it as a set of striped rings=white for "constructive" and dark for "destructive").( Constructive or destructive is relative to the phase of the center zone). Buy using only the constructive regions, something called a zone plate can be constructed (by blocking out the regions that contribute to destructive interference) to boost the signal at the observation point. The phasor diagram that you can construct for the individual zones will show this in more detail. ## \\ ## Alternatively, you can block out the center region and just allow the first outer dark ring or even the entire rest of the pattern to be open to produce Poisson's bright spot=I believe Poisson originally used this as an argument against the diffraction theory. He did not expect the bright spot to appear in the shadow of the obstacle.
 
Last edited:
Hi again @Charles Link and thank you for answering me again! I've actually seen that interpretation of the Fresnel zones (circular rings on a flat plane) several times while searching on the internet. However the surface I considered in the previous problem was curved. I've attached a picture to make every step clearer (and maybe my confusion as well!).

Note: in the planar section ##\rho## refers to the radius of the circle.
 

Attachments

  • IMG_0999.jpg
    IMG_0999.jpg
    24.6 KB · Views: 481
I think the planar case is actually simpler. The phasor diagram for each of the zones is then precisely a semi-circle, apart from an obliquity factor (e.g. ## cos(\theta) ## is often used.) ## \\ ## editing: Each area element ## dA ## contributes an arc length ## ds ## to the phasor diagram. When ## d \phi / ds ## is constant, it becomes a circle with ## d \phi/ds=1/r ##. I calculated this a few years ago, but I remember the result and it should be easy enough to repeat the calculation, if necessary.
 
On this page (http://www2.physics.ox.ac.uk/sites/default/files/optics-yr2-5-6.pdf, page 10), the surface element seems to be ##dS = 2 \pi r_0 dr## and after integration I'd get:

##A = 2 \pi r_0 \int_{r_0 + \frac{l-1}{2} \lambda}^{r_0 + \frac{l}{2} \lambda} dr \\
= 2 \pi r_0 (r_0 + \frac{l}{2} \lambda - r_0 - \frac{l-1}{2} \lambda) \\
= \lambda \pi r_0##

That seems a little too simple though.

Note: I've been starting this post before your last post, so I'm going to try with ##\theta## now. Does it refer to the angle between the optical axis and ##r## in my drawings?Julien.
 
Please read my edited version of post #5.
 
  • Like
Likes   Reactions: JulienB
The obliquity factor causes the otherwise circular phasor diagram to spiral inward with a final value equal to 1/2 that of the first positive zone. Yes, the ## cos(\theta) ## is the angle from the source to the on-axis point. ## \\ ## editing... And yes, your calculation that the area of the zones is independent of zone number ## l ## is what you could expect for the planar case. That's all consistent with ## d \phi /ds ## and ## d \phi/dA ## being constant.
 
Last edited:
@JulienB Please see edited version of post #8.
 
  • #10
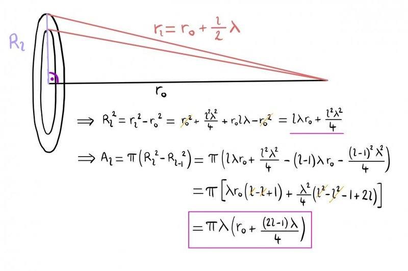
I've performed a new calculation which includes 2nd order terms (and l) which is (maybe) both coherent with my previous answer and with the problem (which mentions a 2nd order term). I'm now getting:

##A_l = \pi \lambda \big(r_0 + \frac{(2l-1) \lambda}{4} \big)##

I've attached a picture detailing my calculations and with a picture. I haven't used the obliquity factor though. Do you think it is correct?
 

Attachments

  • IMG_1002.jpg
    IMG_1002.jpg
    28.7 KB · Views: 469
  • #11
I managed to find my old calculations, so it won't even be necessary to regenerate anything. The integral at hand is basically ## E= \int \frac{e^{-i k d }}{r} \, dA ##. (I'm using ## d ## in place of ## r ## and on-axis it will be ## d_o ##. Now ## E=e^{- i k d_o} \int \frac{e^{-i k(d-d_o)}}{d} \, dA ## and ## \phi=- \frac{2 \pi}{\lambda}(d-d_o)=-\frac{2 \pi}{\lambda}d_o(\frac{1}{cos(\theta)}-1) ##. ## \\ ## Now ## ds=\frac{dA}{d}=\frac{dA}{d_o}cos(\theta) ##. ## \\ ## (I'm just copying verbatim from my calculations of a few years ago.) ## \\ ## ## \frac{d \phi}{ds}=(-\frac{2 \pi}{\lambda} d_o) \frac{(sin(\theta)/cos^2(\theta)) \, d \theta)}{(dA \, cos(\theta)/d_o)} ##. (Numerator is ## d \phi ##, denominator is ## ds ## ) . ## \\ ## But ## dA=2 \pi r \, dr ## and ## \theta=tan^{-1}(\frac{r}{d_o}) ## . ## \\ ## ## \frac{d \theta}{dr}=(\frac{1}{r^2+d_o^2})(\frac{1}{d_o}) ##. ## \\ ## ## tan(\theta)=\frac{r}{d_o} ## and ## cos^2(\theta)=\frac{d_o^2}{r^2+d^2} ##. ## \\ ## Finally, I get ## \\ ## ## \frac{d \phi}{ds}=-1/\lambda ##.
 
Last edited:
  • Like
Likes   Reactions: JulienB
  • #12
Thanks @Charles Link you're so dedicated! I am not sure I understand yet the relevance of the last line (##d\phi / ds = -1/\lambda##), I just started with Fresnel zones today actually. Did you happen to calculate a value of ##A## (the area) as well?
 
  • Like
Likes   Reactions: Charles Link
  • #13
JulienB said:
Thanks @Charles Link you're so dedicated! I am not sure I understand yet the relevance of the last line (##d\phi / ds = -1/\lambda##), I just started with Fresnel zones today actually. Did you happen to calculate a value of ##A## (the area) as well?
The ## d \phi / ds ## is the phasor diagram curvature. ## \phi ## is the angle relative to the horizontal of a contribution of the phasor diagram that computes the electric field ## E ## in diffraction theory. Each area element ## dA ## weighs equally with an arc length ## ds ## (for uniform illumination of the plane). When ## d \phi /ds ## is a constant, (in this case that constant is ## -1/\lambda ##), it means the phasor diagram will be a circle rather than a spiral, or some other shape. ( ## d \phi /ds =1/R ## where ## R ## is the radius of the circle of the phasor diagram.) ## \\ ## Most likely you have seen phasor diagrams for multiple equally spaced slits where you get a polygon for the phasor diagram as the ## \phi ## increments equally in going from one slit to the next. You may also have seen the continuous phasor diagram (again a circle) for the case of the diffraction pattern of a single slit of finite width. ( ## \phi=(\frac{2 \pi}{\lambda})x \, sin(\theta) ##. Notice ## d \phi/dx =constant ## ( ## x ## is position along the slit)). ## \\ ## For the Fresnel zone theory, you have a continuous phasor diagram (not a polygon), as the radius ## r ## out from the center varies continuously. Once again, it is the ## dA ## that is proportional to the ## ds ## of the phasor diagram, ie. ## ds ## is the arc length of the curve. To get the resultant ## E ## , you connect the origin to the endpoint.
 
Last edited:
  • Like
Likes   Reactions: JulienB
  • #14
Julien, Your result of post #10 looks good to me. How does this result compare to the spherical case in the limit ρ → ∞?
 
  • Like
Likes   Reactions: Charles Link and JulienB
  • #15
@TSny Yes it is the same... I didn't really consider the planar wavefront as a spherical wavefront from far away, I've realized that in between. Thanks for pointing that out.Julien.
 
  • #16
JulienB said:
Thanks @Charles Link you're so dedicated! I am not sure I understand yet the relevance of the last line (##d\phi / ds = -1/\lambda##), I just started with Fresnel zones today actually. Did you happen to calculate a value of ##A## (the area) as well?
Since ## dA= \frac{d_o}{cos(\theta)} \, ds ##, and ## \frac{d \phi}{ds}=-\frac{1}{\lambda} ##,(so that ## ds=- \lambda \, d \phi ##), ## A_o= d_o \lambda \pi ##. (approximately=assumes ## \theta=0 ##). ## \\ ## And, in fact, yes, the zones get slightly larger as you get farther away from center to exactly account for the ## 1/d ## falloff of the electric field intensity, making for a phasor diagram that is a precise circle when no additional obliquity factor is included.
 
Last edited:
  • Like
Likes   Reactions: JulienB

Similar threads

  • · Replies 63 ·
3
Replies
63
Views
5K
Replies
18
Views
5K
  • · Replies 5 ·
Replies
5
Views
6K
Replies
1
Views
2K
  • · Replies 12 ·
Replies
12
Views
8K
  • · Replies 9 ·
Replies
9
Views
3K
  • · Replies 1 ·
Replies
1
Views
2K
  • · Replies 3 ·
Replies
3
Views
4K
Replies
8
Views
2K
Replies
3
Views
1K