Fundamental frequencies in a violin string.

Click For Summary

Homework Help Overview

The discussion revolves around the fundamental frequencies of a violin string, specifically focusing on a scenario where the string is fastened at both ends and manipulated by a violinist. The original poster questions the relationship between the fundamental frequency and the excited frequency when the string is bowed and touched at specific points.

Discussion Character

  • Exploratory, Assumption checking, Conceptual clarification

Approaches and Questions Raised

  • Participants explore the conditions under which the fundamental frequency is determined, questioning the assumptions about the string's endpoints and the placement of nodes and antinodes. There are attempts to relate the length of the string to the wavelength and frequency.

Discussion Status

The discussion is ongoing, with participants sharing their reasoning about the positions of nodes and antinodes and how these relate to the frequency. Some guidance has been offered regarding the relationships between length, wavelength, and frequency, but no consensus has been reached on the lowest frequency that can be excited.

Contextual Notes

Participants note potential confusion regarding whether the string is treated as open or closed at the boundaries, which may affect the relationships being discussed. There is also a mention of relevant equations that have not been fully explored in the discussion.

LCSphysicist
Messages
644
Reaction score
163
Homework Statement
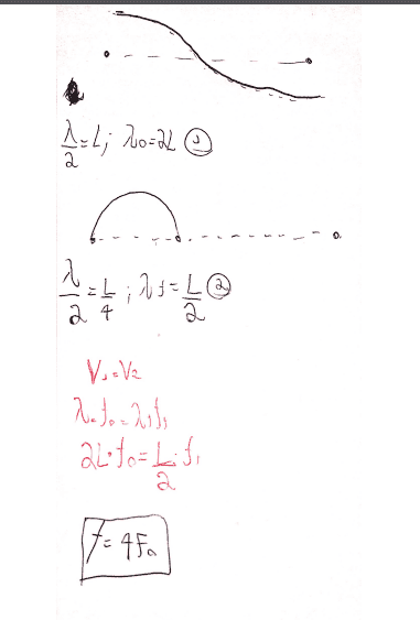
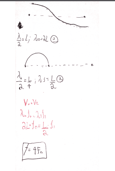
A violin string on a violin is of length L and can be considered to be
fastened at both ends. The fundamental of the open string has a frequency
fo. The violinist bows the string at a distance L/4 from one end and touches
the string lightly at the midpoint.
"Under this condition, what is the lowest frequency he can excite?"
Relevant Equations
All below
Why is this wrong?:
1595444781626.png


That is, why is not f = 4fo?
Oh. And my figure 1 can be wrong, because maybe i got confused if the string was open or closed in the boundaries, anyway this change nothing the relations (1)
 
Physics news on Phys.org
LCSphysicist said:
Homework Statement:: A violin string on a violin is of length L and can be considered to be
fastened at both ends.
The fundamental of the open string has a frequency
fo. The violinist bows the string at a distance L/4 from one end and touches
the string lightly at the midpoint.

"Under this condition, what is the lowest frequency he can excite?"
Relevant Equations:: All below

Why is this wrong?:
View attachment 266711

That is, why is not f = 4fo?
Oh. And my figure 1 can be wrong, because maybe i got confused if the string was open or closed in the boundaries, anyway this change nothing the relations (1)
The string is fastened at both ends.
The violinist bows the string at a distance L/4 from one end and touches
the string lightly at the midpoint.

Where are the nodes and antinodes of the string? What is the wavelength then?
 
  • Like
Likes   Reactions: LCSphysicist
ehild said:
The string is fastened at both ends.
The violinist bows the string at a distance L/4 from one end and touches
the string lightly at the midpoint.

Where are the nodes and antinodes of the string? What is the wavelength then?
Maybe...
The antinodes is where the violinist touch, and the nodes are just the points which he is holding and the another normal point which was stuck from the beginning.
L/4 = λ/4
L = λ.
This solve the problems.
 
LCSphysicist said:
Maybe...
The antinodes is where the violinist touch, and the nodes are just the points which he is holding and the another normal point which was stuck from the beginning.
L/4 = λ/4
L = λ.
This solve the problems.
yes, so the lowest frequency heard is?
 

Similar threads

Replies
5
Views
2K
  • · Replies 7 ·
Replies
7
Views
2K
Replies
7
Views
3K
  • · Replies 26 ·
Replies
26
Views
8K
  • · Replies 2 ·
Replies
2
Views
3K
  • · Replies 6 ·
Replies
6
Views
2K
  • · Replies 2 ·
Replies
2
Views
2K
  • · Replies 8 ·
Replies
8
Views
2K
  • · Replies 14 ·
Replies
14
Views
2K
  • · Replies 4 ·
Replies
4
Views
10K