Galois Groups .... A&W Theorem 47.1 .... ....

  • Context: Undergrad 
  • Thread starter Thread starter Math Amateur
  • Start date Start date
  • Tags Tags
    Groups Theorem
Click For Summary

Discussion Overview

The discussion revolves around the proof of Theorem 47.1 from Anderson and Feil's "A First Course in Abstract Algebra," specifically focusing on the implications of the irreducibility of a polynomial and its relationship to the degree of field extensions. Participants are exploring concepts related to Galois groups, minimal polynomials, and vector space degrees within the context of abstract algebra.

Discussion Character

  • Exploratory
  • Technical explanation
  • Conceptual clarification
  • Debate/contested
  • Mathematical reasoning

Main Points Raised

  • Peter seeks clarification on why the irreducibility of a polynomial \( f \) implies that \( \text{deg}(f) = |F(\alpha) : F| \).
  • Participants discuss the definition of \( |F(\alpha) : F| \) as the degree of the vector space \( F(\alpha) \) over \( F \) and its relation to the minimal polynomial of \( \alpha \) over \( F \).
  • There is a consideration of whether \( f \) being irreducible guarantees it is the minimal polynomial, with Peter questioning the existence of a potentially lower-degree polynomial \( g \) that could also have \( \alpha \) as a root.
  • Another participant confirms that if \( f \) is irreducible, then no polynomial of smaller degree can exist that has \( \alpha \) as a root, thus supporting the argument regarding minimal polynomials.
  • Discussion includes the distinction between a polynomial being irreducible and being monic, noting that while irreducibility affects the degree, it does not necessarily determine if \( f \) is the minimal polynomial.
  • A participant expresses concern about the frequency of questions posed by another, suggesting that struggling with problems independently may enhance learning.

Areas of Agreement / Disagreement

Participants generally agree on the relationship between irreducibility and the degree of field extensions, but there remains uncertainty regarding the existence of other polynomials and the conditions under which \( f \) is considered the minimal polynomial. The discussion does not reach a consensus on these points.

Contextual Notes

Participants note the importance of definitions and the implications of irreducibility, but the discussion does not resolve the question of whether a lower-degree polynomial could exist.

Math Amateur
Gold Member
MHB
Messages
3,920
Reaction score
48
I am reading Anderson and Feil - A First Course in Abstract Algebra.

I am currently focused on Ch. 47: Galois Groups... ...

I need some help with an aspect of the proof of Theorem 47.1 ...

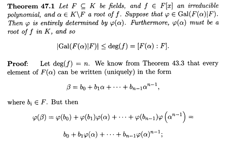
Theorem 47.1 and its proof read as follows:
?temp_hash=f923bf4b4b0874c2253dbf37b3984f44.png

?temp_hash=f923bf4b4b0874c2253dbf37b3984f44.png


At the end of the above proof by Anderson and Feil, we read the following:

"... ... It then follows that ##| \text{Gal} ( F( \alpha ) | F ) | \le \text{deg}(f)##.

The irreducibility of ##f## implies that ##\text{deg}(f) = | F( \alpha ) : F |## ... ... "
Can someone please explain exactly why the irreducibility of ##f## implies that ##\text{deg}(f) = | F( \alpha ) : F |## ... ... ?Peter
 

Attachments

  • A&F - 1 - Theorem 47.1 and proof .- PART 1 ..  ....png
    A&F - 1 - Theorem 47.1 and proof .- PART 1 .. ....png
    39.8 KB · Views: 540
  • A&F - 2 - Theorem 47.1 and proof .- PART 2 ..  ....png
    A&F - 2 - Theorem 47.1 and proof .- PART 2 .. ....png
    26.2 KB · Views: 559
Physics news on Phys.org
What is ##|F(\alpha):F|##? Or better: how can it's value be determined given only ##\alpha## and ##F\,##?
 
fresh_42 said:
What is ##|F(\alpha):F|##? Or better: how can it's value be determined given only ##\alpha## and ##F\,##?
Thanks fresh_42 ...

You write:

" ... What is ##|F(\alpha):F|##? ... "

Well ... ##|F(\alpha):F|## is the degree of the vector space ##F(\alpha)## over ##F## ...

To answer your second question ... the degree of ##F(\alpha)## over ##F## is equal to the degree of the minimal polynomial of ##\alpha## over ##F## ... and that minimal polynomial is the unique monic irreducible polynomial in ##F[x]## of minimal degree having ##\alpha## as a root ... ...

Is that correct?

Peter

***EDIT***

Presumably, ##f## being an irreducible polynomial having ##\alpha## as a root means that ##f## is the minimum polynomial ...

BUT ...

... just thinking over how we know that there isn't an irreducible polynomial ##g## of lesser degree than ##f## having ##\alpha## as a root ... in which case ##g## would be the minimum polynomial, not ##f## ... how do we know that there is not such a polynomial ##g## ...
 
Last edited:
Yes, that's correct. ##m_{\alpha,F}(x)## is the polynomial which satisfies ##m_{\alpha,F}(\alpha)=0## and which has no factors ##f(x)## that also would satisfy ##f(\alpha)=0##. You can see it by division: ##f(x) = q(x)\cdot m_{\alpha,F}(x) +r(x)## and if ##f(\alpha)=0##, then ##r(\alpha)=0## with ##\operatorname{deg} r(x) < \operatorname{deg} m_{\alpha,F}(x)## which means ##m_{\alpha,F}(x)## wasn't minimal.

So what does the irreducibility of a polynomial ##f(x)## imply in the given situation?
 
  • Like
Likes   Reactions: Math Amateur
fresh_42 said:
Yes, that's correct. ##m_{\alpha,F}(x)## is the polynomial which satisfies ##m_{\alpha,F}(\alpha)=0## and which has no factors ##f(x)## that also would satisfy ##f(\alpha)=0##. You can see it by division: ##f(x) = q(x)\cdot m_{\alpha,F}(x) +r(x)## and if ##f(\alpha)=0##, then ##r(\alpha)=0## with ##\operatorname{deg} r(x) < \operatorname{deg} m_{\alpha,F}(x)## which means ##m_{\alpha,F}(x)## wasn't minimal.

So what does the irreducibility of a polynomial ##f(x)## imply in the given situation?
Thanks fresh_42 ...

You write:

"... ... So what does the irreducibility of a polynomial ##f(x)## imply in the given situation? ... ... "From what you have said ... it means that ##f## is the minimal polynomial ... and so then ... ##\text{deg}(f) = [ F( \alpha ) : F ]## ... ...

Is that correct ... ?

Peter
 
Yes, you can use the same argument. Since the remainder polynomial ##r(x)## would have a smaller degree than the minimal polynomial, ##r(x)## has to be the zero polynomial itself. But then ##f(x)=q(x)\cdot m_{\alpha,F}(x)## and irreducibility of ##f(x)## guarantees ##q(x)=q_0 \in F##. Whether ##f(x)## is the minimal polynomial depends on whether it is monic (highest coefficient ##= 1##) or not. It could well be a multiple of ##m_{\alpha,F}(x)## with a factor from ##F##. But this isn't important for the degree.

Edit:
... how do we know that there is not such a polynomial ##g##.
There might be one, but then ##f(x)\,\vert \,g(x)##. And since ##f(x)## is irreducible, there cannot be any polynomial of smaller degree. It is always the division formula ##g=q\cdot m + r## which gives the argument.
 
  • Like
Likes   Reactions: Math Amateur
Mr Amateur, has it occurred to you that you might be better off spending a bit more time and effort trying to answer your own questions? You seem to ask an awful lot of questions here over a relatively short amount of time. I'm just worried you are not learning as much as you would if you struggled a bit more with them yourself. Try it, you may surprise yourself. Often one only gets maybe half way or less to a solution, but even that is real progress toward understanding. Feel free to ignore the suggestion if it doesn't help, but many people find this is the way to reach the next level in learning math.
 
  • Like
Likes   Reactions: Infrared

Similar threads

  • · Replies 2 ·
Replies
2
Views
2K
  • · Replies 9 ·
Replies
9
Views
2K
  • · Replies 3 ·
Replies
3
Views
2K
  • · Replies 6 ·
Replies
6
Views
3K
  • · Replies 7 ·
Replies
7
Views
2K
  • · Replies 1 ·
Replies
1
Views
2K
  • · Replies 19 ·
Replies
19
Views
5K
Replies
8
Views
2K
  • · Replies 2 ·
Replies
2
Views
2K
  • · Replies 4 ·
Replies
4
Views
2K