Grassmannian as smooth manifold

  • Context: Undergrad 
  • Thread starter Thread starter Korybut
  • Start date Start date
  • Tags Tags
    Manifold Smooth
Click For Summary

Discussion Overview

The discussion revolves around the Grassmannian as a smooth manifold, specifically examining a proof presented in Nicolaescu's textbook on differential geometry. Participants raise questions regarding the interpretation of certain statements in the proof, the construction of topology on homomorphisms, and the relationship between projectors and homomorphisms in the context of manifold theory.

Discussion Character

  • Exploratory
  • Technical explanation
  • Debate/contested
  • Mathematical reasoning

Main Points Raised

  • One participant questions the reasoning behind a statement in the proof regarding the canonical inclusion and its implications for subspaces and homomorphisms.
  • Another participant seeks clarification on how a metric is established in the space of homomorphisms to induce topology, expressing uncertainty about this foundational aspect.
  • A different participant suggests that the proof's conclusion about isomorphism between subspaces and homomorphisms requires a mapping to either ##R^n## or ##C^n##, prompting inquiries about how to achieve this mapping.
  • One participant references an alternative proof from Lee's book, noting its clarity and consistency compared to the original proof in Nicolaescu's text.
  • Another participant discusses the homogeneous nature of the Grassmannian and its implications for manifold structure, as well as the dimensionality of the Grassmannian based on the properties of k-dimensional subspaces.

Areas of Agreement / Disagreement

Participants express varying levels of understanding and clarity regarding the proof and its implications. While some find the proof in Lee's book satisfactory, others continue to grapple with specific aspects of the original proof, indicating that multiple competing views and uncertainties remain.

Contextual Notes

Participants highlight potential limitations in the clarity of the screenshots provided, as well as the complexity of the proof itself, suggesting that further examination may be necessary to fully address the questions raised.

Korybut
Messages
74
Reaction score
4
TL;DR
Grassmannian from projectors point of view
Hello!

There is a proof that Grassmannian is indeed a smooth manifold provided in Nicolaescu textbook on differential geometry. Screenshots are below
Nicolaescu1.jpg
Nicolaescu2.jpg
Nicolaescu3.jpg
Nicolaescu4.jpg

There are some troubles with signs in the formulas please ignore them they are not relevant. My questions are the following:
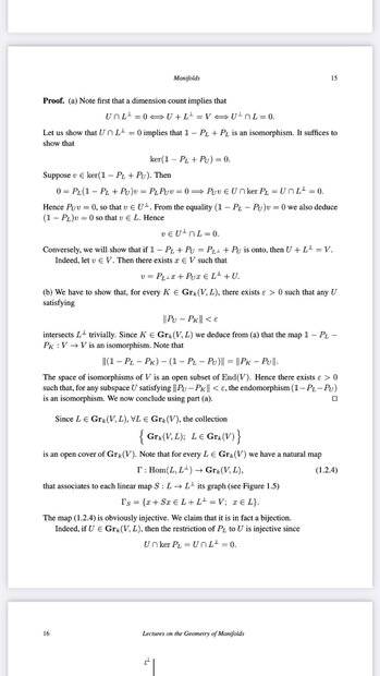
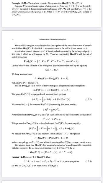
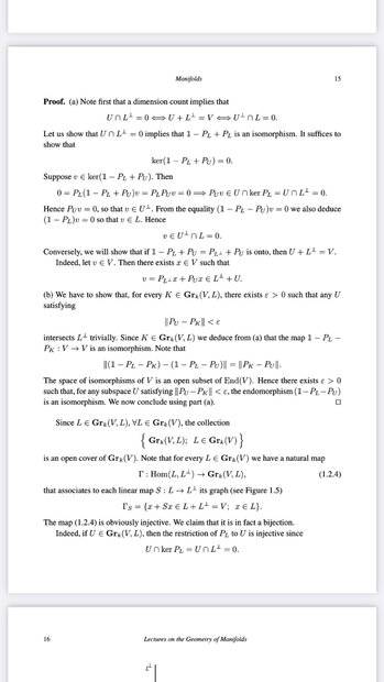
1. After (1.2.5) there is a matrix block form decomposition for projector and the line that puzzles me
"where for every subspace ##K\rightarrow V## we denote ##I_K :K\rightarrow V## the canonical inclusion, then ##U=\Gamma_S##. This last "then ##U=\Gamma_S##" causes troubles since it was already shown that subspaces can be identified with images of homomorphism. Why author put it here?
2. To show that bijection between projector and homomorphism is continuous some sort of metric in the space of homomorphism is required to induce topology. How topology on there homomorphism is built? (Perhaps here I am asking something every undergraduate students knows. Sorry for that)
3. Proof ends on showing that corresponding subspaces are isomorphic with homomorphism but in manifold theory I need a map to ##R^n## or ##C^n##. How one approaches the latter?

Many thanks in advance
 
Physics news on Phys.org
Korybut said:
TL;DR Summary: Grassmannian from projectors point of view

Hello!

There is a proof that Grassmannian is indeed a smooth manifold provided in Nicolaescu textbook on differential geometry. Screenshots are below
View attachment 346060View attachment 346061View attachment 346062View attachment 346063
There are some troubles with signs in the formulas please ignore them they are not relevant. My questions are the following:
1. After (1.2.5) there is a matrix block form decomposition for projector and the line that puzzles me
"where for every subspace ##K\rightarrow V## we denote ##I_K :K\rightarrow V## the canonical inclusion, then ##U=\Gamma_S##. This last "then ##U=\Gamma_S##" causes troubles since it was already shown that subspaces can be identified with images of homomorphism. Why author put it here?
2. To show that bijection between projector and homomorphism is continuous some sort of metric in the space of homomorphism is required to induce topology. How topology on there homomorphism is built? (Perhaps here I am asking something every undergraduate students knows. Sorry for that)
3. Proof ends on showing that corresponding subspaces are isomorphic with homomorphism but in manifold theory I need a map to ##R^n## or ##C^n##. How one approaches the latter?

Many thanks in advance
I'm really having trouble seeing these screenshots on my phone. I will try and look on a desktop and reply.
 
jbergman said:
I'm really having trouble seeing these screenshots on my phone. I will try and look on a desktop and reply.
PF compresses images quite a lot so there is a lot of jpg artifact in them. I doubt the clarity will improve much on a large screen, I'm afraid.

OP - if the textbook is available online, which it looks like it is, a link would be better.
 
  • Like
Likes   Reactions: Korybut
Korybut said:
TL;DR Summary: Grassmannian from projectors point of view

Hello!

There is a proof that Grassmannian is indeed a smooth manifold provided in Nicolaescu textbook on differential geometry. Screenshots are below
View attachment 346060View attachment 346061View attachment 346062View attachment 346063
There are some troubles with signs in the formulas please ignore them they are not relevant. My questions are the following:
1. After (1.2.5) there is a matrix block form decomposition for projector and the line that puzzles me
"where for every subspace ##K\rightarrow V## we denote ##I_K :K\rightarrow V## the canonical inclusion, then ##U=\Gamma_S##. This last "then ##U=\Gamma_S##" causes troubles since it was already shown that subspaces can be identified with images of homomorphism. Why author put it here?
2. To show that bijection between projector and homomorphism is continuous some sort of metric in the space of homomorphism is required to induce topology. How topology on there homomorphism is built? (Perhaps here I am asking something every undergraduate students knows. Sorry for that)
3. Proof ends on showing that corresponding subspaces are isomorphic with homomorphism but in manifold theory I need a map to ##R^n## or ##C^n##. How one approaches the latter?

Many thanks in advance
This is a messy proof and I would have to spend more time to look at it more precisely to answer your specific questions. I am more familiar with Lee's proof in his book Introduction to Smooth Manifolds which you can find in example 1.36 here.

The basic idea is that by choosing basis for ##L## and ##L_{\perp}##, ##\hom(L,L_{\perp})## can be thought of an ##M(n-k,k)## matrix which is essentially ##\mathbb{R}^{k(n-k)}##. ##\Gamma_S## is a map from ##\hom(L,L_{\perp}) \rightarrow Gr_k(V, L)##. Hence, ##\Gamma^{-1}_S: Gr_k(V, L) \rightarrow \hom(L,L_{\perp})## or with the identification mentioned above by choosing a basis, ##\Gamma^{-1}_S: Gr_k(V, L) \rightarrow M(n-k,k) \cong \mathbb{R}^{k(n-k)}##, which can serve as a chart for the open set ##Gr_k(V, L)## .
 
  • Like
Likes   Reactions: Korybut
here are a couple of remarks,. not totally precise, but hopefully intuitively helpful.

1). since given two k diml subspaces of n-space, there is a linear automorphism of n-space taking one subspace to the other, the set of all such subspaces is "homogeneous", i.e. it looks the same near every point. consequently this set is a manifold, i.e. since any algebraically defined space is smooth at some point, if it looks the same at all points, then all points are smooth.

ok, so arguably it is a manifold, but of what dimension?
2. if you are familiar with reduced row echelon form of a rank k matrix with n columns, you know that the first k rows of such a matrix, give a distinguished basis of the k diml row space, a general k diml subspace of n space. for a general k diml subspace, it projects isomorphically onto the subspace of n-space spanned by the first k standard basis vectors, i.e. in general, the first k columns are pivots. then the particular such k diml row space is determined by the non pivot entries in the first k rows. there are exactly n-k such non pivot entries in each of the first k rows, and these give coordinates for the set of k diml subspaces of n-space that project isomorphically onto the subspace spanned by the first k standard basis vectors. thus this open set of the grassmannian is diffeomorphic to k(n-k) space, so that is the dimension of the homogeneous grassmannian.
 
  • Like
Likes   Reactions: Korybut
I am very thankful to everyone for clarifying the subject to me. Proof in the Lee's book is indeed consistent and there are no questions left
 

Similar threads

  • · Replies 4 ·
Replies
4
Views
2K
  • · Replies 20 ·
Replies
20
Views
6K
  • · Replies 2 ·
Replies
2
Views
1K
  • · Replies 2 ·
Replies
2
Views
2K
  • · Replies 10 ·
Replies
10
Views
4K
  • · Replies 16 ·
Replies
16
Views
5K
  • · Replies 13 ·
Replies
13
Views
2K
Replies
8
Views
4K
  • · Replies 8 ·
Replies
8
Views
6K
  • · Replies 6 ·
Replies
6
Views
2K