Gravitational waves: effect of frequency on strain

Click For Summary

Discussion Overview

The discussion revolves around the relationships between gravitational wave flux of energy, frequency of radiation, and the resulting strain. Participants explore the implications of frequency on strain, particularly in the context of black hole inspirals and energy radiation dynamics.

Discussion Character

  • Exploratory
  • Technical explanation
  • Debate/contested

Main Points Raised

  • One participant questions why flux and strain would decrease with frequency, suggesting that strain should increase with phenomena like black hole inspirals.
  • Another participant proposes that if flux is kept constant, higher frequency results in lower strain, seeking clarification on this relationship.
  • A later reply discusses specific cases of black hole binaries, noting that a 100 stellar mass binary with a longer orbital period radiates less energy than a binary with a shorter period, yet they can have the same strain measurement at different distances.
  • It is suggested that the relationship between strain and frequency may depend on the distance or mass of the sources involved, indicating that higher strain could be associated with lower frequency sources due to their proximity or mass.

Areas of Agreement / Disagreement

Participants express differing views on the relationship between frequency, flux, and strain, with no consensus reached on the underlying principles or implications of these relationships.

Contextual Notes

Participants reference specific scenarios involving black hole binaries and their energy radiation, but the discussion remains open-ended regarding the mathematical relationships and assumptions involved.

RyuuJin
Messages
7
Reaction score
0
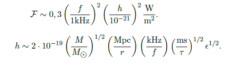
Hi guys. I am having a little trouble understanding a few relations professor mentioned at lectures, regarding gravitational waves - flux of energy and strain.

First one expresses how is the flux of energy F related to frequency of radiation f and inflicted strain h. And the second one is for strain.

Untitled.png


I can't quite understand, why would flux (or strain) decrease with frequency? Shouldn't strain get higher (e.g. inspiral of black holes)??

Thanks!
 
Astronomy news on Phys.org
RyuuJin said:
Hi guys. I am having a little trouble understanding a few relations professor mentioned at lectures, regarding gravitational waves - flux of energy and strain.

First one expresses how is the flux of energy F related to frequency of radiation f and inflicted strain h. And the second one is for strain.

View attachment 200262


I can't quite understand, why would flux (or strain) decrease with frequency? Shouldn't strain get higher (e.g. inspiral of black holes)??

Thanks!
It is increasing with f. f2 is positive.

edit, I know almost nothing about gravity waves. Just looking at (f/1kHz). "f" is a frequency. "1/1kHz" makes that a dimensionless term. Your flux has to be in dimensions W/m2. A 2 kilohertz radiation frequency would be 2kHz/1kHz = 2. So a source with 2 kilohertz has 4 times the flux as a source with 1 kilohertz.
 
Last edited:
Sorry, I didn't write correctly (I am going to edit now). Actually both my questions are regarding strain. In the first equation, if you want to keep flux constant, than with higher frequency you get lower strain?? Why would that be?
 
RyuuJin said:
Hi guys. I am having a little trouble understanding a few relations professor mentioned at lectures, regarding gravitational waves - flux of energy and strain.

First one expresses how is the flux of energy F related to frequency of radiation f and inflicted strain h. And the second one is for strain.

View attachment 200262


I can't quite understand, why would flux (or strain) decrease with frequency? Shouldn't strain get higher (e.g. inspiral of black holes)??

Thanks!
EDIT: Sorry didn't write the question right: I can't quite understand, why would strain decrease with frequency (if you keep flux constant)? Shouldn't strain get higher (e.g. inspiral of black holes)??
 
RyuuJin said:
EDIT: Sorry didn't write the question right: I can't quite understand, why would strain decrease with frequency (if you keep flux constant)? Shouldn't strain get higher (e.g. inspiral of black holes)??

A 100 stellar mass black hole binary would increase energy radiation has they spiral in.
-A 2 second orbital period radiates 1/4th the energy of a 1 second orbit.
-A 400 stellar mass black hole binary with 2 second orbital period radiates the same energy as a 100 stellar mass binary with 1 second orbital period.
-A 100 stellar mass black hole binary with 2 second orbital period will have a strain measurement here that is the same as a 100 stellar mass black hole binary with 1 second orbital period which is twice as far away.

Consider a source A a source B. The flux is equal but source A has 10X frequency. So source B must be closer or more massive or some combination. So you could say "source B has higher strain because it has lower frequency". Really source B has higher strain because it is either closer or more massive.
 

Similar threads

  • · Replies 8 ·
Replies
8
Views
3K
  • · Replies 4 ·
Replies
4
Views
2K
  • · Replies 2 ·
Replies
2
Views
2K
  • · Replies 1 ·
Replies
1
Views
2K
  • · Replies 15 ·
Replies
15
Views
2K
Replies
1
Views
1K
  • · Replies 4 ·
Replies
4
Views
2K
Replies
4
Views
748
  • · Replies 1 ·
Replies
1
Views
1K
  • · Replies 8 ·
Replies
8
Views
2K