Green's function for a boundary value problem

Click For Summary
SUMMARY

The discussion centers on the application of Green's function for solving a boundary value problem. The original poster, referred to as Nipon, attempted to solve the problem but found that their results did not satisfy the conditions of Green's function. Forum members emphasized the importance of using LaTeX math notation for clarity and suggested that Nipon repost their question with proper formatting to facilitate better assistance.

PREREQUISITES
  • Understanding of Green's function in boundary value problems
  • Familiarity with LaTeX math notation for mathematical expressions
  • Basic knowledge of integral equations
  • Experience in posting mathematical problems in online forums
NEXT STEPS
  • Review the LaTeX tutorial for formatting mathematical expressions
  • Study the properties and applications of Green's functions in differential equations
  • Explore boundary value problem techniques in mathematical physics
  • Practice solving integral equations relevant to boundary value problems
USEFUL FOR

Students and researchers in mathematics or physics, particularly those dealing with boundary value problems and seeking to improve their presentation of mathematical work online.

Nipon
Messages
1
Reaction score
0

Homework Statement


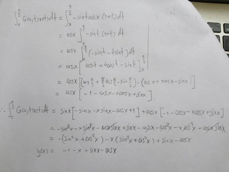
I try to integral as picture 1.
The result that is found by me, it doesn't satisfy Green's function for boundary value problem.

Homework Equations

The Attempt at a Solution


show in picture 2 & picture 3.
 

Attachments

  • 1.jpg
    1.jpg
    18.9 KB · Views: 371
  • 2.jpg
    2.jpg
    26.7 KB · Views: 347
  • 3.jpg
    3.jpg
    32.1 KB · Views: 346
Physics news on Phys.org
Welcome to the PF :smile:

@Nipon -- we strongly prefer that you post using LaTeX math notation (see INFO, Help/How-To at the top of the page for a tutorial), but we are rounding up some help for you on this first post of yours. You have shown a lot of effort, which is the primary thing that we look for here. Posting your work in images is problematic for a number of reasons, though, so if you get a chance before there are more replies, it would be great if you could look over the LaTeX tutorial, and add a reply with the problem statement and your work in LaTeX notation. Thanks.
 
Upon further review, we will need this to be re-posted as a new thread using LaTeX notation. Just one example of a problem is what you are trying to say with "G" notation? Please read through the LaTeX tutorial thread and start a new thread with your question. Feel free to send me a message if you have questions about how to post (click on my avatar and select Start a Conversation). Thanks! :smile:

upload_2018-12-10_17-31-44.png
 

Attachments

  • upload_2018-12-10_17-31-44.png
    upload_2018-12-10_17-31-44.png
    17.3 KB · Views: 422

Similar threads

  • · Replies 8 ·
Replies
8
Views
4K
Replies
3
Views
2K
  • · Replies 1 ·
Replies
1
Views
1K
  • · Replies 6 ·
Replies
6
Views
2K
  • · Replies 1 ·
Replies
1
Views
2K
  • · Replies 3 ·
Replies
3
Views
2K
  • · Replies 8 ·
Replies
8
Views
2K
  • · Replies 6 ·
Replies
6
Views
2K
  • · Replies 2 ·
Replies
2
Views
2K
  • · Replies 2 ·
Replies
2
Views
2K