Helmholtz theorem derivation question

Click For Summary
SUMMARY

The discussion centers on the derivation of the Helmholtz theorem, specifically addressing the application of the Dirac delta function and the gradient operator (∇') in the context of vector fields. Participants clarify that ∇' represents the gradient with respect to r', and that the volume integral of a vector field involves performing a triple integral on each component independently. The conversation highlights the use of vector identities to manipulate integrals, emphasizing the importance of understanding these mathematical tools in the derivation process.

PREREQUISITES
  • Understanding of Helmholtz decomposition theorem
  • Familiarity with vector calculus concepts, including gradients and integrals
  • Knowledge of the Dirac delta function and its applications
  • Proficiency in using vector identities in mathematical proofs
NEXT STEPS
  • Study the Helmholtz decomposition theorem in detail
  • Learn about the properties and applications of the Dirac delta function
  • Explore vector calculus identities and their proofs
  • Practice solving triple integrals of vector fields
USEFUL FOR

Mathematicians, physicists, and engineering students who are studying vector calculus and the Helmholtz theorem, as well as anyone interested in advanced mathematical derivations and applications in physics.

DivergentSpectrum
Messages
149
Reaction score
15
http://en.wikipedia.org/wiki/Helmholtz_decomposition#Derivation
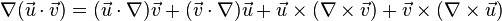
how do we go from
f8d3b3e44dfc58f31df26e57c121a22f.png

to

6f79acfa5e48004f3a3d8c262d7205db.png


also on the next step
f87a951aa4c1323f4886374808b14276.png

∇' just means the gradient with respect to r', right?
Also, why do i have to use the dirac delta function? i thought it was only used to deal with discontinuities?

also when we say
gif.gif

gif.gif

the volume integral of a vector field just means we do the triple integral on each component of the vector field independently right?
 
Last edited:
Physics news on Phys.org
image-jpg.jpg
del is an operator though? if i applied that to this case then id get stuff like
gif.gif
or
gif.gif


i don't know why theyd explain each step then leave one completely mising
 

Similar threads

  • · Replies 20 ·
Replies
20
Views
5K
  • · Replies 8 ·
Replies
8
Views
3K
  • · Replies 8 ·
Replies
8
Views
3K
  • · Replies 3 ·
Replies
3
Views
4K
  • · Replies 3 ·
Replies
3
Views
4K
  • · Replies 2 ·
Replies
2
Views
3K
  • · Replies 53 ·
2
Replies
53
Views
4K
Replies
28
Views
2K
  • · Replies 5 ·
Replies
5
Views
3K
  • · Replies 1 ·
Replies
1
Views
2K