Help: Linear Homogenous DE with Variable Coefficient

Click For Summary

Homework Help Overview

The discussion revolves around a linear homogeneous differential equation with variable coefficients, specifically the equation 2y'' - xy' - 2y = 0. Participants express challenges in finding solutions and explore various methods to approach the problem.

Discussion Character

  • Exploratory, Conceptual clarification, Mathematical reasoning, Problem interpretation

Approaches and Questions Raised

  • Participants discuss the use of power series solutions and transformations to reduce the order of the differential equation. There are attempts to derive recursive relationships for coefficients in the series. Some participants question the correctness of the steps taken in the derivation process.

Discussion Status

The discussion is ongoing, with various methods being explored, including power series and transformations. Some participants have provided insights into particular solutions and the relationship to hypergeometric functions, but there is no consensus on a complete solution yet.

Contextual Notes

Participants mention the difficulty of finding closed-form solutions for linear differential equations with variable coefficients and the potential connection to special functions like the Error Function. There are also references to the quality of resources and the challenges faced in the problem-solving process.

Dillah
Messages
3
Reaction score
0
Hello everyone :)

I'm bit stuck with a problem (last year of technical university), and I've wasted all my book resources, and still was unable to find solution to one particular equation. It's very similar to many others I've encounter, but yet no strategies seems to be working on this one. Equation goes like this:

2y'' - xy' - 2y = 0

Sounds very simple, but I've already wasted several days trying to crack it down. All help is appreciated, but most of all, solution that meets the end.

Thank you in advance :)
 
Physics news on Phys.org
There is no general method for finding a closed form solution to linear d.e.s with variable coefficients. The most general method is to look for a power series solution.

Take
y= \sum_{n=0}^\infty a_n x^n
then
y'= \sum_{n=1}^\infty n a_n x^{n-1}
and
y''= \sum_{n=2}^\infty n(n-1) a_n x^{n-2}

Putting those into your equation,
2y''- xy'- 2y= \sum_{n= 2}^\infty 2n(n-1)a_n x^{n-2}- \sum_{n=1}^\infty na_nx^n- \sum_{n=0}^\infty 2a_n x^n= 0
To be able to combine "like powers", take i= n-2 in the first sum and i= n in the last two. With i= n- 2, n= i+ 2 and when n= 2, i= 0. We have
\sum_{i=0}^\infty 2(i+2)(i+1)a_{i+2}x^i- \sum_{i=1}^\infty i a_ix^i- \sum 2a_i x^i= 0
Notice that the second sum does not start until i= 1 but taking i= 0 in the other two we have 2(2)(1)a_2- 2a_0= 0 so that a_2= (1/2)a_0
For i> 0 we have
2(i+2)(i+1)a_{i+2}- i a_i- 2a_i= 2(i+2)(i+1)a_{i+2}- (i- 2)a_i= 0
so that
a_{i+2}= \frac{i-2}{2(i+2)(i+1)} a_i

That is a recursive formula that allows you to calculate every an as a multiple of a0 if n is even or a1 if n is odd. That is the solution can be written as a0 times a sum plus a1 times a sum. a0 and a1 are the two constants in the general solution.
 
Thank you :)

I've managed to lower the order of DE by using transform:

y=exp(integral(zdx))

So I got Riccati one:

z' = -z^2 + x/2 * z + 1

However, since I wasn't able to "hit" at least 1 particular solution, I couldn't find general solution.

This method with infinite rows could actually work, though you've made a small error in the process I believe, so I got shorter recurrent expression:

an+2 = an / 2*(n+1)
 
2y'' - xy' - 2y = 0
Sounds very simple, but I've already wasted several days trying to crack it down.
Not so simple !
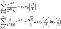
This ODE belongs to the big category of hypergeometrics, which can be solved in terms of infinite series, as HallsofIvy show it. But it's a particular case, related to the Error Function (Erf). Moreover one particular solution is even simpler : x*exp(x²/4)
A second particular solution is more special : x*exp(x²/4)*erf(x/2)
 
I've done the procedure, and I've come down to two separate series, presented in the images (appologize for the quality, I'm so tired atm, barely had brain power left to turn on scanner :P). Do you think it's worth/possible to transform series further to something more appealing?

Thank you very much for all the help, I couldn't have done it without your support :)

[PLAIN]http://img222.imageshack.us/img222/2782/part1p.jpg
[PLAIN]http://img824.imageshack.us/img824/4039/part2z.jpg
 
Last edited by a moderator:
The infinite series corresponds to the particular solutions given in my preceeding message :
 

Attachments

  • Series.JPG
    Series.JPG
    6 KB · Views: 427
that is a beautiful thing to teach, halls of ivory
 
Last edited:

Similar threads

  • · Replies 12 ·
Replies
12
Views
3K
  • · Replies 2 ·
Replies
2
Views
1K
  • · Replies 6 ·
Replies
6
Views
3K
Replies
7
Views
2K
Replies
7
Views
2K
  • · Replies 7 ·
Replies
7
Views
2K
  • · Replies 3 ·
Replies
3
Views
2K
  • · Replies 3 ·
Replies
3
Views
1K
  • · Replies 10 ·
Replies
10
Views
5K