Help Me Understand This Author's Point: Noether's Theorem

Click For Summary

Discussion Overview

The discussion revolves around understanding Noether's Theorem, particularly the derivation and implications of specific equations presented in a referenced paper. Participants seek clarification on mathematical steps, Taylor expansion of the Lagrangian, and the concept of degrees of freedom in the context of the theorem.

Discussion Character

  • Exploratory
  • Technical explanation
  • Debate/contested
  • Homework-related
  • Mathematical reasoning

Main Points Raised

  • Some participants express confusion about the derivation of Equation (7) from the Taylor expansion of the Lagrangian, specifically how variations in the Lagrangian relate to symmetry transformations.
  • One participant requests a demonstration of the Taylor expansion of the Lagrangian, indicating a need for foundational understanding of calculus.
  • Another participant questions how to derive Equation 32, prompting a discussion on the total time derivative of the Lagrangian.
  • There is a query regarding the interpretation of degrees of freedom in the context of the paper, with some suggesting it may relate to axes or positions along those axes.
  • Responses include references to formal education levels and suggestions to read about generalized coordinates in analytical mechanics.

Areas of Agreement / Disagreement

Participants generally express confusion and seek clarification on various aspects of Noether's Theorem, indicating that multiple viewpoints and levels of understanding exist. No consensus is reached on the interpretations or derivations discussed.

Contextual Notes

Limitations include varying levels of mathematical understanding among participants, with some needing foundational concepts clarified before engaging with the theorem's implications.

Who May Find This Useful

This discussion may be useful for students and individuals interested in theoretical physics, particularly those studying symmetries and conservation laws in mechanics.

TimeRip496
Messages
249
Reaction score
5
I don't understand how the author get to these point. Please help me as i have been spending so much time trying to figure this out but to no avail. Thanks for your help
Source: http://phys.columbia.edu/~nicolis/NewFiles/Noether_theorem.pdf
upload_2015-12-18_4-9-7.png


upload_2015-12-18_4-9-52.png


upload_2015-12-18_4-10-46.png
 
Physics news on Phys.org
TimeRip496 said:
I don't understand how the author get to these point. Please help me as i have been spending so much time trying to figure this out but to no avail. Thanks for your help
Source: http://phys.columbia.edu/~nicolis/NewFiles/Noether_theorem.pdf
View attachment 93465

View attachment 93466

View attachment 93467
Which step you don't understand? Equation (7) follows from Tylor expanding the Lagrangian:
[tex]L(x + \epsilon , y+ \eta) - L(x,y) = L(x,y) + \frac{\partial L}{\partial x} \epsilon + \frac{\partial L}{\partial y} \eta - L(x,y)[/tex]
The left hand side is the variation in L, i.e., [itex]\delta L[/itex]. Now take [itex]x = q[/itex], [itex]y = \dot{q}[/itex], [itex]\epsilon = \gamma[/itex] and [itex]\eta = \dot{\gamma}[/itex], you get
[tex]\delta L = \frac{\partial L}{\partial q} \gamma + \frac{\partial L}{\partial \dot{q}} \dot{\gamma} .[/tex]
If the transformation [itex]q^{'} = q + \gamma[/itex] is a symmetry, then [itex]\delta L = 0[/itex]. So, you have
[tex]\frac{\partial L}{\partial q} \gamma + \frac{\partial L}{\partial \dot{q}} \dot{\gamma} = 0.[/tex]
Now, use the Lagrange equation
[tex]\frac{\partial L}{\partial q} = \frac{d}{dt}( \frac{\partial L}{\partial \dot{q}} ) ,[/tex]
in the first term and combine the two terms
[tex]\frac{d}{dt}( \frac{\partial L}{\partial \dot{q}} ) \gamma + (\frac{\partial L}{\partial \dot{q}} ) \frac{d}{dt}\gamma = \frac{d}{dt} \left( \frac{\partial L}{\partial \dot{q}} \gamma \right) = 0 .[/tex]
 
  • Like
Likes   Reactions: TimeRip496
samalkhaiat said:
Which step you don't understand? Equation (7) follows from Tylor expanding the Lagrangian:
[tex]L(x + \epsilon , y+ \eta) - L(x,y) = L(x,y) + \frac{\partial L}{\partial x} \epsilon + \frac{\partial L}{\partial y} \eta - L(x,y)[/tex]
The left hand side is the variation in L, i.e., [itex]\delta L[/itex]. Now take [itex]x = q[/itex], [itex]y = \dot{q}[/itex], [itex]\epsilon = \gamma[/itex] and [itex]\eta = \dot{\gamma}[/itex], you get
[tex]\delta L = \frac{\partial L}{\partial q} \gamma + \frac{\partial L}{\partial \dot{q}} \dot{\gamma} .[/tex]
If the transformation [itex]q^{'} = q + \gamma[/itex] is a symmetry, then [itex]\delta L = 0[/itex]. So, you have
[tex]\frac{\partial L}{\partial q} \gamma + \frac{\partial L}{\partial \dot{q}} \dot{\gamma} = 0.[/tex]
Now, use the Lagrange equation
samalkhaiat said:
Which step you don't understand? Equation (7) follows from Tylor expanding the Lagrangian:
[tex]L(x + \epsilon , y+ \eta) - L(x,y) = L(x,y) + \frac{\partial L}{\partial x} \epsilon + \frac{\partial L}{\partial y} \eta - L(x,y)[/tex]
The left hand side is the variation in L, i.e., [itex]\delta L[/itex]. Now take [itex]x = q[/itex], [itex]y = \dot{q}[/itex], [itex]\epsilon = \gamma[/itex] and [itex]\eta = \dot{\gamma}[/itex], you get
[tex]\delta L = \frac{\partial L}{\partial q} \gamma + \frac{\partial L}{\partial \dot{q}} \dot{\gamma} .[/tex]
If the transformation [itex]q^{'} = q + \gamma[/itex] is a symmetry, then [itex]\delta L = 0[/itex]. So, you have
[tex]\frac{\partial L}{\partial q} \gamma + \frac{\partial L}{\partial \dot{q}} \dot{\gamma} = 0.[/tex]
Now, use the Lagrange equation
[tex]\frac{\partial L}{\partial q} = \frac{d}{dt}( \frac{\partial L}{\partial \dot{q}} ) ,[/tex]
in the first term and combine the two terms
[tex]\frac{d}{dt}( \frac{\partial L}{\partial \dot{q}} ) \gamma + (\frac{\partial L}{\partial \dot{q}} ) \frac{d}{dt}\gamma = \frac{d}{dt} \left( \frac{\partial L}{\partial \dot{q}} \gamma \right) = 0 .[/tex]

in the first term and combine the two terms
[tex]\frac{d}{dt}( \frac{\partial L}{\partial \dot{q}} ) \gamma + (\frac{\partial L}{\partial \dot{q}} ) \frac{d}{dt}\gamma = \frac{d}{dt} \left( \frac{\partial L}{\partial \dot{q}} \gamma \right) = 0 .[/tex]

Thanks! But can you show me taylor expansion of the Lagrangian? I am kind of new to this.
 
TimeRip496 said:
Thanks! But can you show me taylor expansion of the Lagrangian? I am kind of new to this.
This is calculus problem! You should be able to Taylor expand function of two variables:
[tex]L(q + \epsilon \gamma , \dot{q} + \epsilon \dot{\gamma}) = L(q,\dot{q}) + \epsilon \gamma \frac{\partial L}{\partial q} + \epsilon \dot{\gamma} \frac{\partial L}{\partial \dot{q}} + \frac{1}{2} \epsilon^{2} \gamma^{2} \frac{\partial^{2}L}{\partial q^{2}} + \cdots[/tex]
Infinitesimal transformations means that [itex]\epsilon \ll 1[/itex], so you can take [itex]\epsilon^{2} = \epsilon^{3} = \cdots \approx 0[/itex] and keep only the linear terms in [itex]\epsilon[/itex]:
[tex]L(q + \epsilon \gamma , \dot{q} + \epsilon \dot{\gamma}) = L(q,\dot{q}) + \epsilon \gamma \frac{\partial L}{\partial q} + \epsilon \dot{\gamma} \frac{\partial L}{\partial \dot{q}}[/tex]
 
samalkhaiat said:
Which step you don't understand? Equation (7) follows from Tylor expanding the Lagrangian:
[tex]L(x + \epsilon , y+ \eta) - L(x,y) = L(x,y) + \frac{\partial L}{\partial x} \epsilon + \frac{\partial L}{\partial y} \eta - L(x,y)[/tex]
The left hand side is the variation in L, i.e., [itex]\delta L[/itex]. Now take [itex]x = q[/itex], [itex]y = \dot{q}[/itex], [itex]\epsilon = \gamma[/itex] and [itex]\eta = \dot{\gamma}[/itex], you get
[tex]\delta L = \frac{\partial L}{\partial q} \gamma + \frac{\partial L}{\partial \dot{q}} \dot{\gamma} .[/tex]
If the transformation [itex]q^{'} = q + \gamma[/itex] is a symmetry, then [itex]\delta L = 0[/itex]. So, you have
[tex]\frac{\partial L}{\partial q} \gamma + \frac{\partial L}{\partial \dot{q}} \dot{\gamma} = 0.[/tex]
Now, use the Lagrange equation
[tex]\frac{\partial L}{\partial q} = \frac{d}{dt}( \frac{\partial L}{\partial \dot{q}} ) ,[/tex]
in the first term and combine the two terms
[tex]\frac{d}{dt}( \frac{\partial L}{\partial \dot{q}} ) \gamma + (\frac{\partial L}{\partial \dot{q}} ) \frac{d}{dt}\gamma = \frac{d}{dt} \left( \frac{\partial L}{\partial \dot{q}} \gamma \right) = 0 .[/tex]
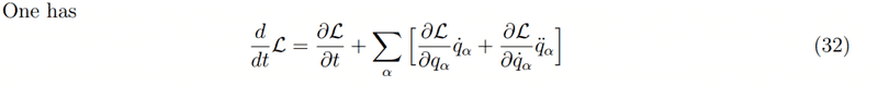
Thanks! But how do I get to equation 32?
 
TimeRip496 said:
Thanks! But how do I get to equation 32?
Don't you know how to take the total time derivative of [itex]L(x(t),y(t);t)[/itex]? What is your formal Education level?
[tex]\frac{dL}{dt} = \frac{\partial L}{\partial t} + \frac{\partial L}{\partial x} \frac{dx}{dt} + \frac{\partial L}{\partial y} \frac{dy}{dt}[/tex]
Now take [itex]x=q, \ y = \frac{dx}{dt} = \frac{dq}{dt} \equiv \dot{q}[/itex], so [itex]\frac{dy}{dt} = \ddot{q}[/itex].
 
samalkhaiat said:
Don't you know how to take the total time derivative of [itex]L(x(t),y(t);t)[/itex]? What is your formal Education level?
[tex]\frac{dL}{dt} = \frac{\partial L}{\partial t} + \frac{\partial L}{\partial x} \frac{dx}{dt} + \frac{\partial L}{\partial y} \frac{dy}{dt}[/tex]
Now take [itex]x=q, \ y = \frac{dx}{dt} = \frac{dq}{dt} \equiv \dot{q}[/itex], so [itex]\frac{dy}{dt} = \ddot{q}[/itex].
Sorry sometimes when I do too much my brain gets fuzzy and I tend to forget all my stuff. I just have one last question, as to how the author just come up with this equation
upload_2015-12-20_8-49-29.png


Thanks again for your help! Besides i am a A'level student.
 
samalkhaiat said:
Don't you know how to take the total time derivative of [itex]L(x(t),y(t);t)[/itex]? What is your formal Education level?
[tex]\frac{dL}{dt} = \frac{\partial L}{\partial t} + \frac{\partial L}{\partial x} \frac{dx}{dt} + \frac{\partial L}{\partial y} \frac{dy}{dt}[/tex]
Now take [itex]x=q, \ y = \frac{dx}{dt} = \frac{dq}{dt} \equiv \dot{q}[/itex], so [itex]\frac{dy}{dt} = \ddot{q}[/itex].
Sorry. Forget my previous post which was a stupid question. My last question is that in this case, is the degree of freedom referring to the type of axis(e.g. x, y or z) or the position along one axis for the euclidean translational symmetry on this paper?
 
TimeRip496 said:
My last question is that in this case, is the degree of freedom referring to the type of axis(e.g. x, y or z)
It may or may not be. As you are still an A-level student, I would suggest you wait till you are mathematically more able. Or, if you like, you can start by reading about the meaning of generalized coordinates in analytical Mechanics.
Good Luck
 

Similar threads

  • · Replies 3 ·
Replies
3
Views
4K
  • · Replies 4 ·
Replies
4
Views
2K
  • · Replies 1 ·
Replies
1
Views
2K
Replies
4
Views
3K
  • · Replies 5 ·
Replies
5
Views
2K
  • · Replies 25 ·
Replies
25
Views
5K
Replies
9
Views
4K
  • · Replies 14 ·
Replies
14
Views
5K
  • · Replies 4 ·
Replies
4
Views
2K
  • · Replies 7 ·
Replies
7
Views
1K