lulu234
- 5
- 0
I have this question for my physics homework and I really don't understand it please help me! It's probably a really simple question but I just can't get my head round it!
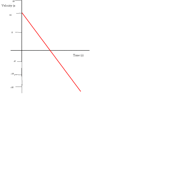
1. a) at what time does the ball reach its maximum height?
b) calculate the maximum height that the ball reaches?
c) caculate the height from maximum to the ground?
d) Use your answers form c) and b) to caculate the height above the ground that the ball was thrown from?
2. Homework Equations [/b]
3. a) 1 seconds
b) d=s/t
1. a) at what time does the ball reach its maximum height?
b) calculate the maximum height that the ball reaches?
c) caculate the height from maximum to the ground?
d) Use your answers form c) and b) to caculate the height above the ground that the ball was thrown from?
2. Homework Equations [/b]
3. a) 1 seconds
b) d=s/t
