Help Naming Hydrocarbons | Explanation & Examples | Attached File

  • Thread starter Thread starter fatcats
  • Start date Start date
  • Tags Tags
    Organic chemistry
Click For Summary

Discussion Overview

The discussion revolves around naming hydrocarbons, specifically focusing on the correct nomenclature for various compounds as presented in an attached file. Participants explore concepts related to hydrocarbon chains, bond multiplicity, and the implications of structural diagrams on naming conventions.

Discussion Character

  • Homework-related
  • Technical explanation
  • Conceptual clarification
  • Debate/contested

Main Points Raised

  • One participant proposes a name for a compound as 1,1,2-tribromo-1-propene but expresses uncertainty about whether a CH3 group is a methyl group or part of the main chain.
  • Another participant questions how to consistently identify the main hydrocarbon chain in diagrams and asks which is longer between propane and ethane, noting bond multiplicity does not matter.
  • Participants discuss bond multiplicity, with one noting that ethane is longer than propane but struggles to determine the placement of the CH3 group in the diagram.
  • A participant explains that carbon chains are rarely straight and that single bonds allow for rotation, which may affect how groups are perceived in diagrams.
  • One participant suggests that technically correct names for the compounds should differ from those initially proposed, citing historical naming conventions.
  • There is confusion regarding the term "bond multiplicity," with participants seeking clarification on its meaning and relevance to naming hydrocarbons.
  • Discussion includes the idea that adding a methyl group to a carbon chain results in a different compound, raising questions about naming conventions when side groups are involved.
  • One participant asserts that if a methyl group is attached at the end of a chain, it is not considered a side group.

Areas of Agreement / Disagreement

Participants express varying levels of certainty regarding the correct naming of hydrocarbons, with some proposing alternative names while others defend their original choices. There is no consensus on the definitions and implications of bond multiplicity, nor on the naming conventions for compounds with methyl groups.

Contextual Notes

Some participants mention that the naming conventions discussed may be outdated or not aligned with current educational expectations, indicating potential limitations in the understanding of nomenclature among participants.

Who May Find This Useful

Students studying organic chemistry, particularly those focusing on hydrocarbon nomenclature and structural interpretation, may find this discussion relevant.

fatcats
Messages
34
Reaction score
1

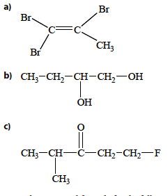
Homework Statement


See attached file

Homework Equations


N/A

The Attempt at a Solution



a) 1,1,2-tribromo-1-propene

Now this one I'm not sure about. Is the CH3 a methyl group attached to ethene?
How can I consistently tell the main hydrocarbon chain in a diagram like this?

b) 1,2-butanediol

quite sure this one is right

c) 1-fluoro-4-methyl-3-pentanone

Second least sure about this one
 

Attachments

  • Screen Shot 2018-01-06 at 4.27.34 PM.png
    Screen Shot 2018-01-06 at 4.27.34 PM.png
    2.6 KB · Views: 657
Physics news on Phys.org
fatcats said:
How can I consistently tell the main hydrocarbon chain in a diagram like this?

Which is longer: propane or ethane? (bond multiplicity doesn't matter)
 
what is bond multiplicity?
ethane is longer, but I can't tell if the CH3 is a methyl subgroup or if its part of the main chain because it's placed diagonally in the diagram
 
Doesn't matter if the bond is single, double or triple.

fatcats said:
it's placed diagonally in the diagram

Doesn't matter, carbon chains are (almost) never exactly straight, even if they are drawn this way. Most often (when all carbons are saturated) the chain zigzags with angles being given by sp3 hybridization. Also remember single bonds are free to rotate.
 
Okay, thank you for the information. I still don't understand what bond multiplicity is

a) 1,1,2-tribromo-1-propene
so this one is right then?
c) 1-fluoro-4-methyl-3-pentanone
is this one?
 
If the bonds are free to rotate can't it just be a methyl group rotating as well as a carbon atom part of the main chain?
 
As far as I am aware technically correct names should look a bit different:

1,1,2-tribromoprop-1-ene
butane-1,2-diol
1-fluoro-4-methylpentan-3-one

If memory serves me well the way you named them (1-propene, 3-pentanone) was correct at some point in the past.

fatcats said:
I still don't understand what bond multiplicity is

It is not a formal term, but I though it should be more or less obvious what I mean (perhaps my English failed me). When you have two carbon atoms they are bonded to each other with a single bond, double bond or a triple bond - these are bonds of different multiplicities, for selecting the longest chain kind of a bond between carbon atoms (its "multiplicity") doesn't matter.

fatcats said:
If the bonds are free to rotate can't it just be a methyl group rotating

If you add a methyl group at the end of the carbon chain carbon chain got longer. If you add methyl group at the end of ethane you don't get methylethane, but propane.

Bond rotation means that it typically doesn't matter how the molecule is drawn, all the molecules below are just hexane.

Untitled-1.png
 

Attachments

  • Untitled-1.png
    Untitled-1.png
    6.6 KB · Views: 540
Thank you so much for your detailed response. It has clarified a lot for me.

I think my course expects me to name them the way I did; I was not aware it was an outdated method... this is for chem 12 in Ontario, Canada.

As for bond multiplicity your English is perfect. I have been seeing this term around but it was not explained in my course and when I tried to research it on the internet I did not really find any good clarification. I think I understand it now.

Alright so ethane and methane can't have methyl groups? I don't remember my course mentioning this but I will take your word for it.

The drawings as well were very helpful.
 
fatcats said:
Alright so ethane and methane can't have methyl groups? I don't remember my course mentioning this but I will take your word for it.

It is not like they can't - just when you add a methyl group what you get is another compound that has its own name. When you add 1 to 4 you get 5, you won't refer to it as to "four with added one", won't you?
 
  • #10
But if butane gets a methyl group stemming from its 2nd or 3rd carbon, it's 2-methyl-butane?

If it's a side group attached to the end can't it be 1-methyl-butane or does it just become pentane?
 
  • #11
If it is a side group, it is methyl, if it is attached at the end it is not a side group.
 

Similar threads

  • · Replies 1 ·
Replies
1
Views
2K
  • · Replies 4 ·
Replies
4
Views
3K
  • · Replies 1 ·
Replies
1
Views
13K
  • · Replies 5 ·
Replies
5
Views
2K
  • · Replies 3 ·
Replies
3
Views
16K
Replies
1
Views
13K
  • · Replies 18 ·
Replies
18
Views
12K
  • · Replies 2 ·
Replies
2
Views
3K
  • · Replies 1 ·
Replies
1
Views
6K
  • · Replies 2 ·
Replies
2
Views
4K