Help Understanding the answer to a Quantum Mechanic problem

Click For Summary
SUMMARY

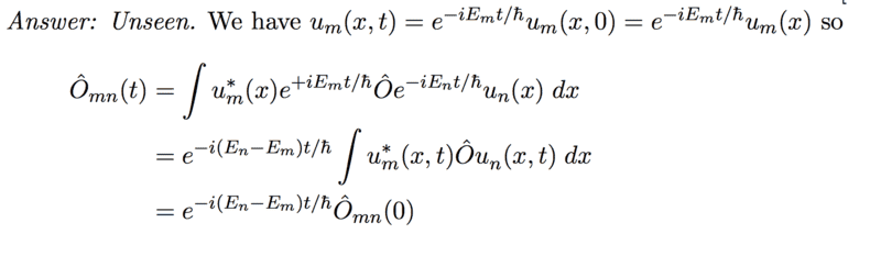
The discussion clarifies the interpretation of the quantum mechanics problem regarding the operator O(t) and its relation to eigenstates at time t=0. It emphasizes that O(t) does not need to be evaluated at t=0, but rather in terms of the eigenstates defined at that initial time. Additionally, it corrects a notation error in the answer, specifying that the terms should be um*(x) and un(x) without t dependence.

PREREQUISITES
  • Understanding of quantum mechanics concepts, particularly eigenstates and operators.
  • Familiarity with time evolution in quantum systems.
  • Knowledge of notation used in quantum mechanics, including bra-ket notation.
  • Basic grasp of mathematical functions and their dependencies.
NEXT STEPS
  • Study the time evolution of quantum states using the Schrödinger equation.
  • Learn about the role of eigenstates in quantum mechanics and their significance in measurements.
  • Explore the concept of operators in quantum mechanics and their applications.
  • Review common notation and terminology used in quantum mechanics to avoid confusion.
USEFUL FOR

Students of quantum mechanics, educators teaching quantum concepts, and anyone seeking to clarify the application of operators and eigenstates in quantum systems.

David0709
Messages
7
Reaction score
0

Homework Statement


Screen Shot 2017-12-17 at 23.43.30.png


The answer is as follows: [/B]

Screen Shot 2017-12-17 at 23.44.23.png


However they said that time t=0 so I am confused how the exponent has a t in it surely it should be zero. Thanks
 

Attachments

  • Screen Shot 2017-12-17 at 20.48.28.png
    Screen Shot 2017-12-17 at 20.48.28.png
    14.4 KB · Views: 529
  • Screen Shot 2017-12-17 at 23.44.23.png
    Screen Shot 2017-12-17 at 23.44.23.png
    12.4 KB · Views: 535
  • Screen Shot 2017-12-17 at 23.43.30.png
    Screen Shot 2017-12-17 at 23.43.30.png
    14.1 KB · Views: 872
  • Screen Shot 2017-12-17 at 23.44.23.png
    Screen Shot 2017-12-17 at 23.44.23.png
    12.5 KB · Views: 724
Physics news on Phys.org
They are telling you in part (b) to write ## O(t) ## in terms of the "eigenstates at t=0". ## O(t) ## is not required to be at ## t=0 ##. (the eigenstates at ## t=0 ##, is what they are referring to).b ## \\ ## Additional note: In the part you labeled "Answer: Unseen" , in the 3rd line, I think those should read ## u^*_m(x) ## and ## u_n(x) ##, without any ## t ## dependence.
 
Last edited:

Similar threads

Replies
3
Views
2K
Replies
46
Views
3K
  • · Replies 8 ·
Replies
8
Views
2K
  • · Replies 3 ·
Replies
3
Views
3K
  • · Replies 2 ·
Replies
2
Views
1K
  • · Replies 7 ·
Replies
7
Views
3K
  • · Replies 3 ·
Replies
3
Views
3K
Replies
6
Views
4K
  • · Replies 15 ·
Replies
15
Views
2K
  • · Replies 47 ·
2
Replies
47
Views
4K