Perturbation treatment of hydrogen molecular ion

Click For Summary

Homework Help Overview

The discussion revolves around the perturbation treatment of the hydrogen molecular ion within the context of quantum mechanics and molecular physics. Participants are exploring the complexities of perturbation theory as presented in a textbook, expressing concerns about the advanced nature of the material given their current level of understanding.

Discussion Character

  • Exploratory, Conceptual clarification, Mathematical reasoning, Assumption checking

Approaches and Questions Raised

  • The original poster attempts to understand the expansion of integrals related to electronic distribution and the derivation of terms in perturbation theory. Participants inquire about the explicit expression for the kinetic energy operator and discuss the representation of the Hamiltonian in different coordinate systems. There are also questions about the treatment of derivatives and the simplification of expressions involving functions of position.

Discussion Status

Participants are actively engaging with the material, providing guidance on expressing mathematical terms and clarifying notation. There is a recognition of the need to tidy up results and ensure clarity in mathematical expressions. While some participants express growing confidence in their understanding, there is no explicit consensus on the final formulation of the equations being discussed.

Contextual Notes

Some participants note the challenges posed by the textbook's presentation and the complexity of the mathematical expressions involved. There is an acknowledgment of the need for clearer communication of mathematical ideas, particularly regarding the use of LaTeX for expressions.

patric44
Messages
308
Reaction score
40
Homework Statement
question about perturbation method treatment ?
Relevant Equations
in the pictures
hi guys
i am a the third year undergrad student and in this 2nd semester in my collage we should start taking quantum mechanics along with
molecular physics , our molecular physics professor choose a book that we are going to take which is " molecular physics by wolfgang Demtroder "
when i opened that book i found that it uses some advanced quantum mechanics like perturbation theory ... i found it really heavy for a student that just has some relativity intermediate quantum mechanics knowledge !
i started to get this perturbation theory thing ! but has some questions about this :
i get that he can represent the electronic distribution as a linear combination of functions with some coefficients that depend on the
position of the nuclei , how did he expand that integral and reached that partial derivative term its very unclear to me ?
quantum2.png
quantum3.png

i appreciate any help
thanks
 
Physics news on Phys.org
Can you give us the explicit expression for the operator ##\hat H'##?
 
Screenshot_2020-03-23-22-36-37.jpg
 
This tells you that ##\hat{H'}## is the operator corresponding to the kinetic energy due to the motion of all of the nuclei. Suppose the ##k^{th}## nucleus has a mass ##M_k## and position ##\mathbf R_k##. Can you write down the kinetic energy operator ##\hat T_k## for this nucleus?
 
TSny said:
This tells you that ##\hat{H'}## is the operator corresponding to the kinetic energy due to the motion of all of the nuclei. Suppose the ##k^{th}## nucleus has a mass ##M_k## and position ##\mathbf R_k##. Can you write down the kinetic energy operator ##\hat T_k## for this nucleus?
I guess it should be something like this :
Screenshot_2020-03-24-09-13-41.jpg

I'm not sure if the laplacian expression in spherical is right because the book didn't mention the angles in his treatment!
 
Let's express the laplacians in cartesian coordinates and see if we can make sense of (2.10).

So, as you wrote, ##\hat{H'} = \sum_k \frac{1}{M_k} \nabla_k^2##.

If ##x_k##, ##y_k##, and ##z_k## denote the cartesian coordinates of the position of the ##k^{th}## nucleus, what does ##\hat{H'}## look like when expressed in terms of these coordinates?

Also, suppose you have two functions ##f(x)## and ##g(x)##. Expand the expression ##\frac{d^2}{dx^2}\left[f(x)g(x)\right]##.
 
TSny said:
Let's express the laplacians in cartesian coordinates and see if we can make sense of (2.10).

So, as you wrote, ##\hat{H'} = \sum_k \frac{1}{M_k} \nabla_k^2##.

If ##x_k##, ##y_k##, and ##z_k## denote the cartesian coordinates of the position of the ##k^{th}## nucleus, what does ##\hat{H'}## look like when expressed in terms of these coordinates?

Also, suppose you have two functions ##f(x)## and ##g(x)##. Expand the expression ##\frac{d^2}{dx^2}\left[f(x)g(x)\right]##.
I guess something like this :
Screenshot_2020-03-24-17-23-58.jpg
 
OK. Generalize this to get an expansion of

##\nabla_k^2 \left[f(\mathbf R_k) g(\mathbf R_k)\right]##
 
TSny said:
OK. Generalize this to get an expansion of

##\nabla_k^2 \left[f(\mathbf R_k) g(\mathbf R_k)\right]##
Screenshot_2020-03-24-17-49-29.jpg

I guess some terms should vanish as they are not differentiable with respect to either x,y,z?
 
  • #10
patric44 said:
I guess some terms should vanish as they are not differentiable with respect to either x,y,z?
In the expression ##f(\mathbf R_k)##, ##\mathbf R_k## is the position vector of the ##k^{th}## molecule: ##\mathbf R_k = x_k \hat i +y_k \hat j+z_k \hat k##. The notation ##f(\mathbf R_k)## is just shorthand for ##f(x_k, y_k, z_k)##.

In your result for ##\nabla_k^2 \left[f(\mathbf R_k) g(\mathbf R_k)\right]##, your use of primes might be a little confusing. But I guess your subscripts, ##x##, ##y##, and ##z## indicate what derivative the prime denotes.

Can you tidy up your result for ##\nabla_k^2 (fg)## by expressing it in terms of ##\nabla_k^2 f##, ##\nabla_k^2 g##, ##\vec \nabla_k f## and ##\vec \nabla_k g##?
 
  • #11
TSny said:
In the expression ##f(\mathbf R_k)##, ##\mathbf R_k## is the position vector of the ##k^{th}## molecule: ##\mathbf R_k = x_k \hat i +y_k \hat j+z_k \hat k##. The notation ##f(\mathbf R_k)## is just shorthand for ##f(x_k, y_k, z_k)##.

In your result for ##\nabla_k^2 \left[f(\mathbf R_k) g(\mathbf R_k)\right]##, your use of primes might be a little confusing. But I guess your subscripts, ##x##, ##y##, and ##z## indicate what derivative the prime denotes.

Can you tidy up your result for ##\nabla_k^2 (fg)## by expressing it in terms of ##\nabla_k^2 f##, ##\nabla_k^2 g##, ##\vec \nabla_k f## and ##\vec \nabla_k g##?
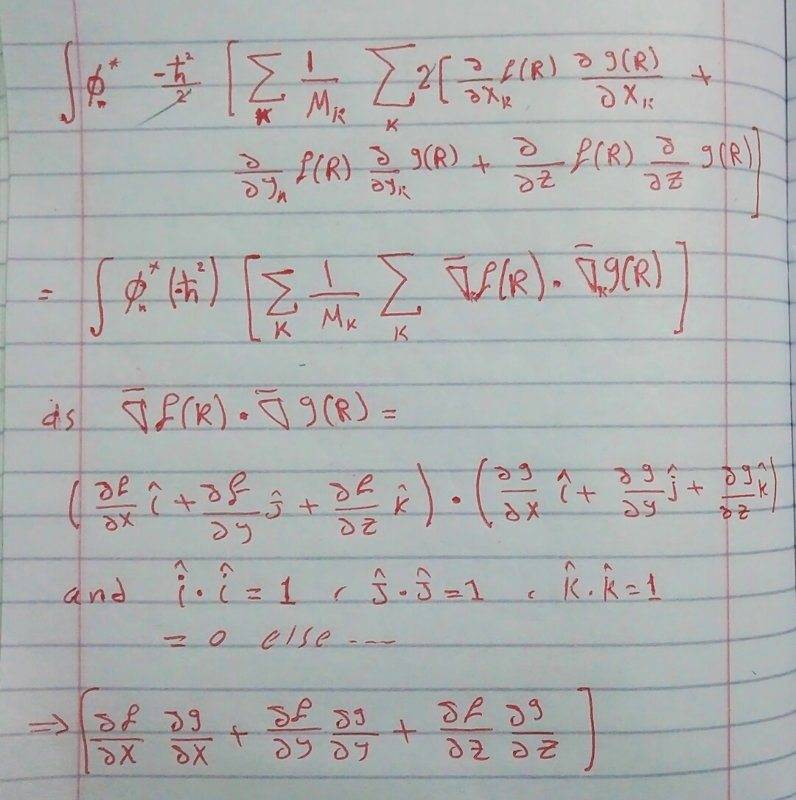
Thank you so much
I guess the final expression should be as this :
Screenshot_2020-03-24-18-25-49.jpg

Thanks again that helped me a lot, I thought that I would never get this scary looking equation
 
  • #12
I'm beginning to like perturbation theory :smile:
 
  • #13
You just about have it. You even included the summation over ##m## in the last term, which the text left out.

However, the argument of your summations in the last term is not written quite correctly. As written, you would have "cross terms" like ##\frac{\partial \phi_m}{\partial x_k} \frac{\partial \chi_m}{\partial y_k}## which have derivatives with respect to ##x_k## and ##y_k## in the same term. But your result in post #9 did not have such mixed terms in ##x_k## and ##y_k##. Try to express your last integral in terms of the gradients ##\vec \nabla_k \phi## and ##\vec \nabla_k \chi##.

We strongly encourage posters to type out mathematical expressions (using Latex if possible) rather than posting pictures of handwritten work. I should have mentioned this much earlier. Typing your expressions makes it much easier for helpers to quote specific parts of your work.
 
  • #14
TSny said:
You just about have it. You even included the summation over ##m## in the last term, which the text left out.

However, the argument of your summations in the last term is not written quite correctly. As written, you would have "cross terms" like ##\frac{\partial \phi_m}{\partial x_k} \frac{\partial \chi_m}{\partial y_k}## which have derivatives with respect to ##x_k## and ##y_k## in the same term. But your result in post #9 did not have such mixed terms in ##x_k## and ##y_k##. Try to express your last integral in terms of the gradients ##\vec \nabla_k \phi## and ##\vec \nabla_k \chi##.

We strongly encourage posters to type out mathematical expressions (using Latex if possible) rather than posting pictures of handwritten work. I should have mentioned this much earlier. Typing your expressions makes it much easier for helpers to quote specific parts of your work.
I almost had it, I think the confusing part that the book express all the derivative as d/dR, but I guess I has it right this time :
Screenshot_2020-03-24-19-19-04.jpg

I'm really sorry for not using Latex but I really don't know how to, I will learn it an I promise you that the next perturbation theory question will be in latex
 
  • #15
The next summation should be on "m", my bad
 
  • #16
Looks good!
 

Similar threads

Replies
3
Views
2K
  • · Replies 8 ·
Replies
8
Views
3K
Replies
6
Views
4K
  • · Replies 1 ·
Replies
1
Views
2K
  • · Replies 2 ·
Replies
2
Views
2K
  • · Replies 2 ·
Replies
2
Views
2K
  • · Replies 5 ·
Replies
5
Views
4K
  • · Replies 2 ·
Replies
2
Views
3K
  • · Replies 9 ·
Replies
9
Views
5K
  • · Replies 10 ·
Replies
10
Views
2K