Help with an integral that has differentials inside of it

  • Context: Undergrad 
  • Thread starter Thread starter enerj
  • Start date Start date
  • Tags Tags
    Differentials Integral
Click For Summary
SUMMARY

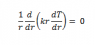
The discussion centers on solving a differential equation using double integration techniques. The user identifies the general solution as T(r) = A*ln(r) + B, where A and B are constants. The conversation emphasizes the importance of mastering calculus concepts, particularly in the context of differential equations and integration methods. The user seeks assistance in refining their calculus skills to effectively tackle the problem presented.

PREREQUISITES
  • Understanding of differential equations
  • Proficiency in double integration techniques
  • Familiarity with natural logarithmic functions
  • Basic knowledge of calculus concepts
NEXT STEPS
  • Study advanced techniques in solving differential equations
  • Practice double integration problems with varying functions
  • Explore applications of natural logarithms in calculus
  • Review calculus textbooks focusing on integration methods
USEFUL FOR

Students and professionals in mathematics, particularly those studying calculus and differential equations, as well as anyone looking to improve their integration skills.

enerj
Messages
3
Reaction score
0
So my calculus isn't as sharp as I'd like it, and I am having trouble solving this diff eq, and I know the correct method is double integration. I also know the general solution to be

T(r) = A*ln(r) + B , A and B are constants

Thanks in advance
 

Attachments

  • 2-5-2011 11-45-30 PM.png
    2-5-2011 11-45-30 PM.png
    701 bytes · Views: 411
Physics news on Phys.org
What have you done so far?
 

Similar threads

  • · Replies 14 ·
Replies
14
Views
4K
  • · Replies 11 ·
Replies
11
Views
3K
  • · Replies 19 ·
Replies
19
Views
5K
  • · Replies 11 ·
Replies
11
Views
3K
  • · Replies 8 ·
Replies
8
Views
4K
  • · Replies 49 ·
2
Replies
49
Views
8K
  • · Replies 1 ·
Replies
1
Views
3K
  • · Replies 3 ·
Replies
3
Views
2K
  • · Replies 4 ·
Replies
4
Views
7K
  • · Replies 1 ·
Replies
1
Views
2K