Help with Discrete Sine Transform

Click For Summary

Discussion Overview

The discussion revolves around the calculation of the discrete sine transform of the function \( x \cdot e^{-x^2} \). Participants are exploring issues related to numerical results obtained using the FFTw library, including discrepancies in expected outcomes and the effects of sampling frequency on the transform.

Discussion Character

  • Exploratory
  • Technical explanation
  • Debate/contested
  • Mathematical reasoning

Main Points Raised

  • One participant seeks assistance with calculating the discrete sine transform and reports poor results with 64 points using the FFTw library.
  • Another participant points out a potential typo in the original equation and requests clarification on the graphs provided.
  • There is a suggestion that a finer mesh may be needed for the Fourier transform, particularly for small values of \( \omega \).
  • Some participants discuss the argument for the sine function, with one correcting it to \( \sin(\omega x) \) and expressing confusion about the appearance of \( \omega \) in the integral.
  • A participant mentions a discrepancy in the sine transform results reported by Wolfram Alpha, suggesting a mix-up with normalization constants and factors of \( \pi \).
  • Concerns are raised about the potential influence of a cosine transform or a filter applied before the FFT, which may explain observed deviations in the results.
  • One participant shares their method of performing the sine transform using Excel's built-in Fourier transform instead of a library.
  • A later post discusses the importance of sampling frequency in recovering the original signal and the role of low pass filters in avoiding aliasing.

Areas of Agreement / Disagreement

Participants express differing views on the correct formulation of the sine transform and the factors involved. There is no consensus on the source of the discrepancies in numerical results, and multiple competing explanations are presented.

Contextual Notes

Participants note limitations related to sampling frequency and the potential effects of filters on the results, but these aspects remain unresolved within the discussion.

kaniello
Messages
21
Reaction score
0
Hi,
I am a neophyte in Discrete Fourier Transform and I am procticing with discrete Sine-transform.
Specifically I want to calculate $$ \mathcal{F}_s \lbrace x \cdot e^{-x^2} \rbrace = \int\limits_{0}^{\infty } x \cdot e^{-x^2} \cdot \sin\left(x\right)\, \mathrm{d}x
= \frac{1}{2} \pi^2 \omega e^{- \frac{1}{4} \pi^2 \omega^2} $$
I am using the FFTw library and with a 64 points I get a very poor result. Can anybody please help to improve it?
This is my C++ code, plot and numerical data are attached.
Thank you very much in advance
 
Last edited:
Physics news on Phys.org
I don't see any attachments.
Your itex "command is not working as you intend to produce laTex. I think you should use double number-signs, before and after. I think this is what you want.
$$ \mathcal{F}_s \lbrace x \cdot e^{-x^2} \rbrace = \int\limits_{0}^{\infty } x \cdot e^{-x^2} \cdot \sin\left(x\right)\, \mathrm{d}x
= \frac{1}{2} \pi^2 \omega e^{- \frac{1}{4} \pi^2 \omega^2} $$

You can always click the preview button before posting a message. There is a latex help guide available. https://www.physicsforums.com/help/latexhelp/
 
Hello Scottdave,
thank you very much for your hint, my post looks definitely better now.
I hope that you can see the attachments now
 

Attachments

  • Code.txt
    Code.txt
    2.1 KB · Views: 687
  • DST_Compare_Analytic_vs_Theoretical.png
    DST_Compare_Analytic_vs_Theoretical.png
    4.8 KB · Views: 621
Your original equation has a typo (sin(?)). It would be helpful to give more information about the graphs - which is which?
 
Hi mathman,
the original equation is $$ f(x) = x \cdot e^{-x^2}$$ . Its analytical sine-transform is given by
$$ \mathcal{F}_s \lbrace f(x) \rbrace (\omega) = \int\limits_{0}^{\infty } x \cdot e^{-x^2} \cdot \sin\left(x\right)\, \mathrm{d}x
= \frac{1}{2} \pi^2 \omega e^{- \frac{1}{4} \pi^2 \omega^2}$$
I uploaded the plot again with a legend
 

Attachments

  • DST_Compare_Analytic_vs_Theoretical.png
    DST_Compare_Analytic_vs_Theoretical.png
    5.2 KB · Views: 633
I presume the argument for the sin is ωx. I suspect that you need a finer mesh for the Fourier transform for small ω.
 
mathman said:
I presume the argument for the sin is ωx. I suspect that you need a finer mesh for the Fourier transform for small ω.
It has been awhile since I have done these, but I was kind of wondering how the ω just popped in when it is not in the integral.
 
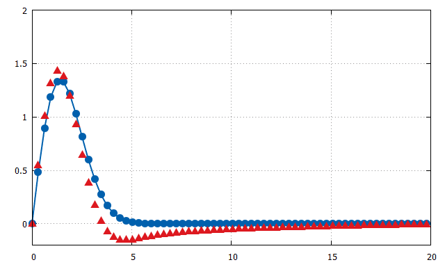
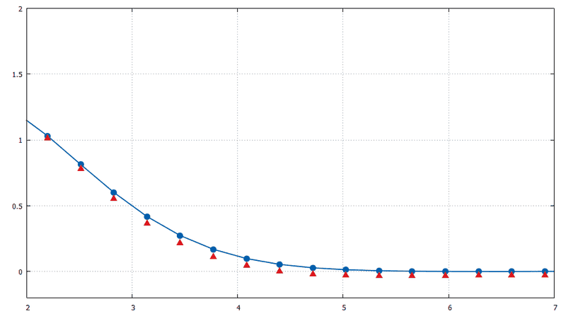
Sorry for the typing error,of course the the correct argument $$\sin \left(\omega x \right)$$. The resolution is still poor even with 256 points Can anybody tell me where the deviation between 2.0 and 7.0 comes from? (please see attachments).
 

Attachments

  • DST_Compare_Analytic_vs_Theoretical_256Pts.png
    DST_Compare_Analytic_vs_Theoretical_256Pts.png
    11.5 KB · Views: 631
  • DST_Compare_Analytic_vs_Theoretical_256Pts_zoom.png
    DST_Compare_Analytic_vs_Theoretical_256Pts_zoom.png
    9.5 KB · Views: 583
Hi kaniello,

There seems to be a bit of a mixup with factors pi.
W|A (link) reports the sine transform to be:
$$\mathscr F_s\{xe^{-x^2}\}(\omega) = \frac 1{2\sqrt 2}\omega e^{-\frac 14 \omega^2}$$
Of course we can have a different normalization constant than the one given, but not a different argument to the exponential function.

Anyway, if I do a discrete Fourier transform on the data, I don't get the dip that you're seeing between 2 and 7.
So it appears there is something wrong with that FFTW routine that you're using.
Unfortunately I'm not familiar with it.

I do notice that the dip might be explained if the cosine transform somehow crept in - that one does have a dip between 2 and 7.
And I guess it might also be caused by a filter (window function) that is applied before applying the FFT.
Have you tried using an FFT routine from a different library?
 
Last edited:
  • #10
Dear I like Serena,
thanks a lot for your reply.

Which library did you use to perform the sine transform of ## xe^{-x^2} ## ? It would be really interesting to compare the results.

I do not apply any filter to my Input data but I will try to understand from the FFTw Website if it is somehow executed automatically
 
  • #11
You're welcome.
I didn't use any library - for a quick check I just used Excel's built in Fourier transform (one of the Data Analysis Tools).
 
  • #12
Hello @kaniello . I just thought I would add some information for you, since you did state you are new to Discrete Fourier Transforms.
Are you aware of how sampling frequency affects the ability to regain the original signal? Every time varying signal is composed of various sinusoidal frequencies.
For the highest frequency in the time varying signal, you must sample at a rate at least twice of that frequency.

You may find this Wikipedia article helpful, to start. https://en.wikipedia.org/wiki/Nyquist_frequency

In real-world digital signal processing, we want to make sure that we are sampling at a high enough frequency. That is why a low pass filter is used on the signal before sampling - to filter out the higher frequencies that can lead to "aliasing".
 

Similar threads

  • · Replies 4 ·
Replies
4
Views
2K
  • · Replies 12 ·
Replies
12
Views
12K
  • · Replies 3 ·
Replies
3
Views
2K
  • · Replies 5 ·
Replies
5
Views
2K
  • · Replies 3 ·
Replies
3
Views
2K
  • · Replies 2 ·
Replies
2
Views
3K
  • · Replies 3 ·
Replies
3
Views
2K
  • · Replies 2 ·
Replies
2
Views
7K
  • · Replies 3 ·
Replies
3
Views
2K
  • · Replies 1 ·
Replies
1
Views
2K