Higher order derivatives calculation

Click For Summary

Discussion Overview

The discussion revolves around the calculation of higher order derivatives, particularly focusing on the application of the product rule for derivatives and the validity of a proposed formula involving derivatives of the function \( F(x) = e^x \sin(x) \). Participants explore the implications of the formula and its correctness through examples and inductive reasoning.

Discussion Character

  • Exploratory
  • Mathematical reasoning
  • Debate/contested

Main Points Raised

  • One participant questions the validity of a statement regarding higher order derivatives, suggesting that it fails for the function \( F(x) = e^x \).
  • Another participant clarifies that the numbers in parentheses represent derivatives, while also providing a specific function for analysis.
  • A proposed approach involves using the \( n \)th order derivative of a product formula as a basis for an inductive proof, with the formula in question serving as the induction hypothesis.
  • A follow-up calculation is presented, demonstrating the fourth derivative of \( e^x \sin(x) \) and leading to a formulation of an induction hypothesis for further derivatives.
  • Participants engage in deriving results based on the induction hypothesis, showing a stepwise progression in the proof structure.

Areas of Agreement / Disagreement

Participants express differing views on the validity of the initial statement regarding higher order derivatives, with some questioning its correctness while others attempt to validate it through mathematical reasoning. The discussion remains unresolved regarding the initial claim's accuracy.

Contextual Notes

There are assumptions about the nature of the derivatives and the conditions under which the proposed formula holds. The discussion does not clarify the limitations of the inductive proof or the specific conditions under which the formula may fail.

4445
Messages
2
Reaction score
0
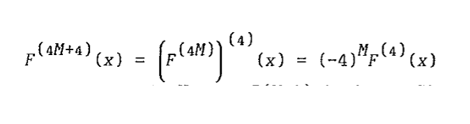
Does anyone know why this is true?
View attachment 7432
 

Attachments

  • MATH.png
    MATH.png
    3.1 KB · Views: 153
Physics news on Phys.org
Is $M$ a non-negative integer?
Do the numbers in parentheses all indicate derivatives, while $(-4)^M$ is an ordinary power?
I cannot see why what you wrote would be true, then. For example, it fails for $F(x) = e^x$.
 
Thank you for your answer. F(x) = (e^x)*sin(x). The numbers in parenthesis indicate derivatives
 
I think I would begin by looking at the $n$th order derivative of a product formula:

$$\frac{d^n}{dx^n}\left(f(x)\cdot g(x)\right)=\sum_{k=0}^n\left({n \choose k}f^{(n-k)}(x)\cdot g^{(k)}(x)\right)$$

And use this formula in an inductive proof, where the formula in question is your induction hypothesis $P_M$, where $M\in\mathbb{N_0}$.

Can you proceed?
 
As a follow up, let's first compute:

$$\frac{d^4}{dx^4}\left(e^x\sin(x)\right)=e^x\sin(x)+4e^x\cos(x)-6e^x\sin(x)-4e^x\cos(x)+e^x\sin(x)=-4e^x\sin(x)$$

And so our induction hypothesis is:

$$\frac{d^{4(M+1)}}{dx^{4(M+1)}}\left(e^x\sin(x)\right)=(-4)^{M+1}\left(e^x\sin(x)\right)$$

It is easy to see now, that taking the 4th derivative of both sides, we get:

$$\frac{d^{4((M+1)+1)}}{dx^{4((M+1)+1)}}\left(e^x\sin(x)\right)=(-4)^{(M+1)+1}\left(e^x\sin(x)\right)$$

Since we have obtained $P_{M+2}$ from $P_{M+1}$, this completes our proof by induction.
 

Similar threads

  • · Replies 5 ·
Replies
5
Views
2K
  • · Replies 21 ·
Replies
21
Views
3K
  • · Replies 3 ·
Replies
3
Views
4K
  • · Replies 21 ·
Replies
21
Views
6K
  • · Replies 6 ·
Replies
6
Views
2K
  • · Replies 2 ·
Replies
2
Views
3K
  • · Replies 25 ·
Replies
25
Views
3K
  • · Replies 2 ·
Replies
2
Views
3K
  • · Replies 2 ·
Replies
2
Views
3K
  • · Replies 1 ·
Replies
1
Views
2K