How can I find the definite solution for this integral using Mathematica?

  • Thread starter Thread starter rabbahs
  • Start date Start date
Click For Summary

Homework Help Overview

The discussion revolves around finding the definite solution for a specific integral using Mathematica. The original poster expresses difficulty in obtaining the desired result and suspects that a special function may be involved.

Discussion Character

  • Exploratory, Assumption checking, Problem interpretation

Approaches and Questions Raised

  • Participants discuss the limits of integration and the implications of divergence near zero. There are suggestions to clarify the integral's setup and to explore the use of special functions, such as the Exponential Integral.

Discussion Status

Some participants provide insights into the behavior of the integral and the output from Mathematica, while others question the original poster's interpretation of the results. There is an ongoing exploration of potential solutions and references to literature that may assist in understanding the integral.

Contextual Notes

The original poster mentions that this problem is part of a research project rather than coursework, which may influence the expectations for the solution. There is also a reference to a specific source that the poster cannot access, adding to the constraints of the discussion.

rabbahs
Messages
16
Reaction score
0

Homework Statement


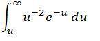
Integration of following is required, I have tried on Mathematica but it didnt works, may be some special function will be available to find its definite solution. All variable and known data is presented in the following equation.


Homework Equations


Integral.jpg



The Attempt at a Solution


when i tried to solve it in Mathematica, it give me the following msg,
Integral1.jpg
 
Last edited:
Physics news on Phys.org


I'll try explain what you got from the program:

in your question the integral is from u to infinity and you tried to calculate it in Mathematica as an integral from 0[/] to infinity.

your integral diverges i.e. the sum that the integral calculates goes to infinity near 0.
in other words it has a singularity there.

but if you can try to calculate in some ways, tell us in what course you got it (what tools you've learned) and may be we point you to the right way :)

*could be represented as a series and could be split into several parts one of one of them the integral is just the Exponential Integral or Ei...

Good Luck
 


thanks gomunkul51,

you are right about the wrong discription of Integral into Mathematica.
Now when i put the correct limits, its gives me the following answer. which is surely what I don't want.
Integral1.jpg


This is not a part of any course work. During my research project I am stuck to find the solution of that integral. Still now my hands are tight.

What I think is that if is a kind of special function.
some thing I found on net which i related to the solution. Kindly view the following,

Integral.jpg


but the problem is that I also expand in in integral (as u can see the far most side of the equation.

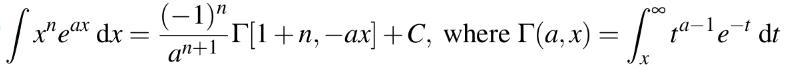
Then in a research paper I found a solution of this function,

Integral2.jpg


The reference to about solution is "Rainville, E.D., Special Functions, 44 (Macmillan, 1960)."

And i don't have any access to that reference.

If i cannot justify the solution then it is hard to me to use it.

any other idea ? most welcome
 


I don't understand your issue. Mathematica has given you the correct answer. Presumably u is a real number greater than 0, otherwise the integral doesn't converge. Mathematica says that if this is the case, then the answer is [tex]\frac{e^-u}{u}+Ei(-u)[/tex] The exponential integral function is a tabulated function which you can look up. Mathematica also has the Ei function built in so you can plot it or get the numerical values. What is wrong with this solution? Why is it "surely what you don't want?

As an aside, you really should use different variables for the integration variable and the limit variable, like this:

Integrate[Exp[-v]/v^2, {v, u, \[Infinity]}]

I'm surprised Mathematica didn't get confused by this, but it didn't.
 


If it's not part of a class that you need to answer is a "particular" way, then basically you get what you've got:

original integral = (1/x*e^x) - Ei(1,x)

Ei is a known function which defined as: integral[-infinity,x]((e^u)/u)
 

Similar threads

  • · Replies 6 ·
Replies
6
Views
2K
  • · Replies 9 ·
Replies
9
Views
2K
  • · Replies 3 ·
Replies
3
Views
3K
Replies
10
Views
2K
Replies
6
Views
2K
Replies
4
Views
1K
  • · Replies 4 ·
Replies
4
Views
4K
  • · Replies 5 ·
Replies
5
Views
4K
Replies
7
Views
2K
  • · Replies 6 ·
Replies
6
Views
5K