How can I simplify the denominator in equation 22-7?

  • Context: Undergrad 
  • Thread starter Thread starter rtareen
  • Start date Start date
Click For Summary
SUMMARY

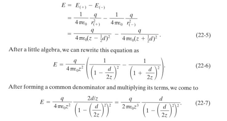
This discussion focuses on deriving the equation for the electric field generated by an electric dipole along its axis, specifically transitioning from equation 22-6 to equation 22-7. The key steps involve forming a common denominator using the formula ##\frac{1}{a}-\frac{1}{b} = \frac{b-a}{ab}## and simplifying the denominator with the identity ##(x-y)(x+y) = x^2-y^2##. The conversation emphasizes the importance of correctly substituting the values for a and b to achieve the desired simplification. Additionally, it addresses the scenario of evaluating the field on both sides of the dipole axis.

PREREQUISITES
  • Understanding of electric dipole theory
  • Familiarity with algebraic manipulation of fractions
  • Knowledge of the equations governing electric fields
  • Basic calculus concepts related to limits and continuity
NEXT STEPS
  • Study the derivation of electric field equations for dipoles
  • Learn about the implications of dipole orientation on electric field strength
  • Explore advanced algebra techniques for simplifying complex fractions
  • Investigate the effects of distance on electric field calculations
USEFUL FOR

Students and professionals in physics, particularly those focusing on electromagnetism, as well as educators seeking to clarify concepts related to electric dipoles and field equations.

rtareen
Messages
162
Reaction score
32
TL;DR
I have 2 equations, one directly coming from the first through algebra. I dont know how to get from Equation 22-6 to Equation 22-7.
Dipole.jpg


I am trying to derive the equation for the field generated by an electric dipole for at a point along the dipole axis. d is the distance between the between the point charges and z is the distance from the center point of the dipole to the point of interest along the dipole axis. I just want to know how you get from equation 22-6 to equation 22-7. Please show all steps.

PS: This assumes that the point is along the side of the axis that is closer to the positive charge. Will it be the same if the point was on the opposite side?
 

Attachments

  • Dipole.jpg
    Dipole.jpg
    20.1 KB · Views: 268
Mathematics news on Phys.org
As they wrote, form a common denominator. ##\frac{1}{a}-\frac{1}{b} = \frac{b}{ab}-\frac{a}{ab} = \frac{b-a}{ab}##. Plug in the denominators for a and b, then simplify. To simplify the denominator it helps that ##(x-y)(x+y) = x^2-y^2##

Which step is unclear?
 
mfb said:
As they wrote, form a common denominator. ##\frac{1}{a}-\frac{1}{b} = \frac{b}{ab}-\frac{a}{ab} = \frac{b-a}{ab}##. Plug in the denominators for a and b, then simplify. To simplify the denominator it helps that ##(x-y)(x+y) = x^2-y^2##

Which step is unclear?
Thanks for showing me how they did it. Its been so long since I've used that, I forgot it existed.
 

Similar threads

  • · Replies 10 ·
Replies
10
Views
1K
  • · Replies 1 ·
Replies
1
Views
2K
  • · Replies 1 ·
Replies
1
Views
2K
  • · Replies 10 ·
Replies
10
Views
3K
Replies
7
Views
2K
Replies
1
Views
2K
Replies
20
Views
2K
  • · Replies 1 ·
Replies
1
Views
3K
  • · Replies 17 ·
Replies
17
Views
4K
  • · Replies 10 ·
Replies
10
Views
2K