How can I uncouple this system when m1 ≠ m2? ....

  • Thread starter Thread starter juan carlos trujillo
  • Start date Start date
  • Tags Tags
    System
Click For Summary

Homework Help Overview

The discussion revolves around a system of coupled oscillators with unequal masses (m1 ≠ m2). The original poster is attempting to find a way to uncouple the equations governing the motion of the system, which is presented in a specific mathematical form. Participants are exploring various methods to achieve this uncoupling.

Discussion Character

  • Exploratory, Conceptual clarification, Mathematical reasoning

Approaches and Questions Raised

  • Some participants suggest using a general linear approach involving a combination of the displacements of the masses. Others mention the use of Fourier transforms as a potential method for solving the problem. The original poster expresses uncertainty about these methods and their application.

Discussion Status

The discussion is ongoing, with participants providing various approaches and insights. There is an acknowledgment that the sum and difference techniques previously attempted by the original poster do not lead to a solution. Some guidance has been offered regarding the formulation of the equations and the potential for simplification through specific substitutions.

Contextual Notes

Participants note the challenge posed by the unequal masses in the system, which complicates the uncoupling process. The original poster has indicated a lack of familiarity with certain equations and methods suggested in the discussion.

juan carlos trujillo
Messages
2
Reaction score
0
HW Template missing as it was moved from another forum
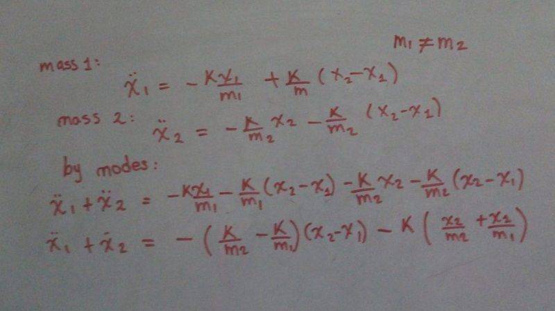
this is the exercise :

i've got by modes:
img537.png


https://scontent.fbog2-1.fna.fbcdn.net/v/t35.0-12/15311417_1271935189529554_1902854011_o.jpg?oh=09710fddf04ae58a465238d8f1786189&oe=58424904

but i can't uncouple it.

this is supposed to in the form x = -w2 *x i would like if you can help me to solve this problem.
 

Attachments

  • 20161201_124117.jpg
    20161201_124117.jpg
    29.4 KB · Views: 518
  • 20161201_124117.jpg
    20161201_124117.jpg
    28.5 KB · Views: 511
Physics news on Phys.org
Did you try the general linear approach ##u=x_1 + c x_2## with some constant c? Ideally, two values for c give (different) uncoupled equations.
 
No, I haven't. Because i really don't know that eqauation.

what i have tried is when applying the sum and substraction (x1+x2) and (x1-x2) as well as the tecnique C1/C2. But none of them gives the frecuency i need due to the masses that are differents and at the end i ended up with nothing because of I got to a point where i couldn't simplify anything.

i've heard a possible solution for this problem could be done by solving through Fourier transform.But i don't know how to apply it .
 
Physics and mathematics are not about memorizing equations. It is about figuring out how to solve a problem.

The sum and differences don't allow to decouple the system, as you noted already.

Fourier transformation should work as well. Just transform the equations.

Guessing a solution and then figuring out the constants is another option: for each mass it will be the sum of two oscillations.
 
  • Like
Likes   Reactions: juan carlos trujillo
juan carlos trujillo said:
Because i really don't know that eqauation.
mfb's suggsted method is quite straightforward. The idea is that there is some point between the masses, maybe not the common mass centre but some other weighted combination of the x values, which satisfies a simpler equation.
If you define u as in post #2 you can get an equation for ##\ddot u## in terms of the x's and c. If you simply assume that expression can be rewritten as some constant times u you can get an equation for c interms of k and the two masses.
By the way, the algebra will be simpler if you first replace k/m1 by k1, similarly k2.
 
juan carlos trujillo said:
this is the exercise :

i've got by modes:
img537.png
but i can't uncouple it.

this is supposed to in the form x = -w2 *xi would like if you can help me to solve this problem.
The usual procedure to solve such problems is to assume the solution in the form x1=aeiωt and x2=beiωt. Substituting into the system of differential equations, you get an algebraic equation for the angular frequency ω. There will be two possible frequencies, and according to them, two possible "normal modes" -two dimensional vectors with components x1 and x2.
 

Similar threads

  • · Replies 5 ·
Replies
5
Views
3K
  • · Replies 10 ·
Replies
10
Views
5K
  • · Replies 33 ·
2
Replies
33
Views
5K
Replies
2
Views
1K
  • · Replies 6 ·
Replies
6
Views
2K
  • · Replies 10 ·
Replies
10
Views
4K
  • · Replies 1 ·
Replies
1
Views
991
  • · Replies 17 ·
Replies
17
Views
5K
  • · Replies 3 ·
Replies
3
Views
2K
  • · Replies 5 ·
Replies
5
Views
2K