How do I calculate the derivative of the function T_el with respect to yd?

  • Context: Undergrad 
  • Thread starter Thread starter 1Keenan
  • Start date Start date
  • Tags Tags
    Derivative Function
Click For Summary

Discussion Overview

The discussion revolves around calculating the derivative of the function T_el with respect to the variable yd, which is part of the expression A_elSide. The context involves determining the energy resolution of a magnetic spectrometer, relating energy to the position on the detector. Participants are exploring the mathematical approach to derive this relationship.

Discussion Character

  • Mathematical reasoning
  • Debate/contested

Main Points Raised

  • One participant seeks assistance in calculating the derivative dT_el/dyd, emphasizing the importance of expressing energy as a function of beam position.
  • Another participant humorously notes the lack of visibility of the results mentioned by the original poster, suggesting the use of LaTeX for clarity.
  • A participant expresses uncertainty about their approach, indicating they derived the function as a square root but believes it may not be correct.
  • One participant suggests that the challenge lies in inverting the equation for yd and proposes a linear approximation for small angles.
  • Another participant mentions potential confusion with constant terms and expresses a need to redo calculations.
  • A later reply acknowledges the previous help but notes that the angle theta is not small enough for certain approximations to hold.

Areas of Agreement / Disagreement

Participants express various uncertainties and disagreements regarding the correct approach to the derivative, with no consensus on a single method or result. Multiple competing views on the mathematical strategy remain evident.

Contextual Notes

Participants mention potential issues with approximations and constant terms, indicating that the calculations may depend on specific assumptions about the variables involved.

1Keenan
Messages
99
Reaction score
4
Hello,

I would need some help in calculating the derivative of the function T_el in the attached image.
I want to calculate d T_el /d yd, where yd is the variable and it appears in the term I called A_elSide. Its expression is again in the image.
Numbers you see are not important.Just to explain what I am trying to do:
I want to calculate energy resolution of a magnetic spectrometer (which means distance between two energy point) and it can be calculated as (dT/dy)*spotsize, basically the derivative of the energy with respect to the position on the detector and multiplied by the "nominal" beam spot size.

This means I need to express the energy as a function of the beam position.
Beam position at the detector plane is yd=R*sin(theta)+(d*tg(theta)

First term (R*sin(theta)) is the y coordinate at the magnet output, second term ((d*tg(theta) ) is the additional displacement in the drift d between magnet and detector.
Kinetic energy is in the bending radius R, so doing some math I got an expression for the kinetic enexrgy, which is T_el in the pictureExpression for T_el has an element A_elSide, cotaining the position on the detector (yd), which is the variable with respect I should do the derivative.

An now I need help, I did it already 4 times and I got 4 different results...
Any help?
 

Attachments

  • Immagine.png
    Immagine.png
    17.7 KB · Views: 236
Physics news on Phys.org
1Keenan said:
I got 4 different results...
I don't see any of them. Telepathic capabilities severely limited.
And please, ##\LaTeX##, not pictures. Do you want us to do it for you ?
 
no, I don't want you to do it for me, off course!
I didn't posted them because they are wrong.

My strategy is to derive it as a sqrt((a+f(x))^2) but I guess it doesn't work properly...
 
To me it seems the tough part is inverting
1Keenan said:
yd=R*sin(theta)+(d*tg(theta) )
so I wonder if ##\theta## is small enough to approximate linearly.
(by the way, the thing is called tan, not tg )

1Keenan said:
My strategy is to derive it as a sqrt((a+f(x))^2)
So what is $${d\over dz} \, \sqrt {a+z^2} \quad ? $$
1Keenan said:
I didn't posted them because they are wrong.
Post what you think is the best one and solicit comments
 
Tan or tg is the same...
I'll redo the calculation tomorrow, I think I made a mess with all the other constant terms
 
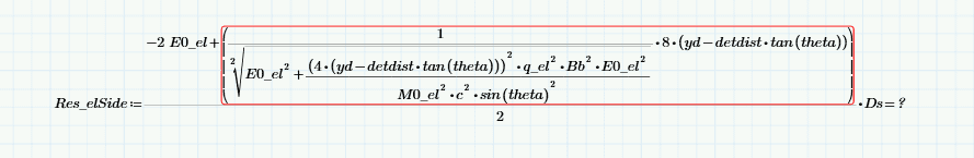
ok, I did calculation and the most reasonable result is attached here.

There is a problem, it doesn't work at all...
any help?
 

Attachments

  • Immagine.png
    Immagine.png
    6.7 KB · Views: 205
I tried to help in post #4. Did it not help ?
 
Yes, you did.
I forgot to tell you that theta is not small to approximate sin(theta) = theta.

I think I'm messing up with the constants. Or do you see any huge mistake in the derivative?
 

Similar threads

  • · Replies 3 ·
Replies
3
Views
2K
  • · Replies 5 ·
Replies
5
Views
3K
  • · Replies 4 ·
Replies
4
Views
3K
  • · Replies 2 ·
Replies
2
Views
3K
  • · Replies 16 ·
Replies
16
Views
3K
  • · Replies 4 ·
Replies
4
Views
4K
  • · Replies 1 ·
Replies
1
Views
1K
  • · Replies 5 ·
Replies
5
Views
4K
  • · Replies 6 ·
Replies
6
Views
2K
  • · Replies 3 ·
Replies
3
Views
2K