How do I solve for the centroid of a function with a given range?

Click For Summary

Homework Help Overview

The discussion revolves around finding the centroid of a function defined by Y(x) = 96.4*x(100-x) within the interval (0, 93.7) cm. Participants are exploring how to calculate the area under the curve and the coordinates of the centroid.

Discussion Character

  • Exploratory, Mathematical reasoning, Problem interpretation

Approaches and Questions Raised

  • Participants discuss the challenge of solving for x in terms of y and consider using the inverse function. There are mentions of integrating with respect to x to find the centroid coordinates.

Discussion Status

Some participants have offered guidance on using integration to find the centroid coordinates, while others are exploring different methods and interpretations of the problem. There is an acknowledgment of the complexity involved in using the inverse function.

Contextual Notes

The original poster expresses difficulty in clearing x from the equation, indicating a potential barrier to progressing with the problem. The discussion includes references to specific calculations related to area and centroid coordinates.

Guillem_dlc
Messages
188
Reaction score
17
Summary:: I'm solving an exercise.

I have the following center of gravity problem:

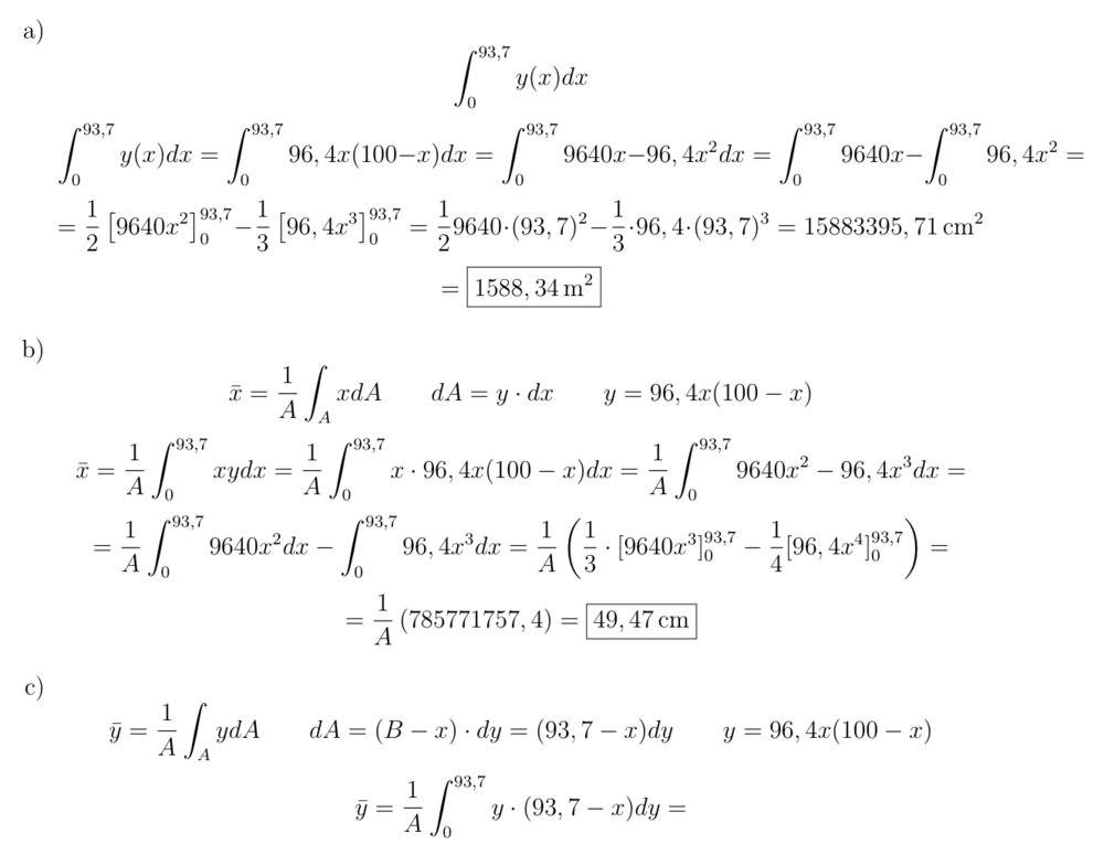
Having the function Y(x)=96,4*x(100-x) cm, where X is the horizontal axis and Y is the vertical axis, ranged between the interval (0, 93,7) cm. Determine:
a) Area bounded by this function, axis X and the line X=93,7 (in cm2)
b) The bar{x} coordinate of its centroid (in cm)
c) The bar{y} coordinate of its centroid (in cm)
8BDE096C-6720-494B-A873-4C2146EC05C5.jpeg

My attempt at resolution:

7AE6BF30-7086-4851-ADC1-1F6E4D77391B.jpeg

How can I calculate the last section if I can't clear the x?

Thanks!
 
Physics news on Phys.org
Guillem_dlc said:
How can I calculate the last section if I can't clear the x?
You are given y as a function of x, ##y = 96.4x(100 - x)##. Solve this equation for x in terms of y.
IOW, you have y = f(x), Solving for x gives you ##x = f^{-1}(y)##.
 
Mark44 said:
You are given y as a function of x, ##y = 96.4x(100 - x)##. Solve this equation for x in terms of y.
IOW, you have y = f(x), Solving for x gives you ##x = f^{-1}(y)##.
Okay perfect thank you!
 
You can do it with the inverse that can sometimes be unwieldy if the function is complicated. You can also find ##\bar{y}## by integrating wrt ##x##. Consider a vertical strip of width ##\delta x## and height ##f(x)##, then the incremental change in the first moment of area in the ##y## direction is

##\delta S_y = \frac{1}{2} {f(x)}^2 \delta x##

and then you can just integrate up over your limits and divide by the total area.
 
Last edited by a moderator:
etotheipi said:
You can do it with the inverse but as an additional point that might sometimes be a little unwieldy if the function is complicated. You can also find ##\bar{y}## by integrating wrt ##x##. Consider a vertical strip of width ##\delta x## and height ##f(x)##, then the incremental change in the first moment of area in the ##y## direction is

##\delta S_y = \frac{1}{2} {f(x)}^2 \delta x##

and then you can just integrate up over your limits and divide by the total area.
Yes, I applied this second method in the end, i.e. integrating with respect to ##x## and considering that ##y## was in the middle of the differential.
 

Similar threads

  • · Replies 19 ·
Replies
19
Views
2K
  • · Replies 2 ·
Replies
2
Views
2K
  • · Replies 1 ·
Replies
1
Views
6K
Replies
26
Views
4K
  • · Replies 2 ·
Replies
2
Views
22K
  • · Replies 19 ·
Replies
19
Views
29K
  • · Replies 20 ·
Replies
20
Views
8K
Replies
1
Views
2K
  • · Replies 11 ·
Replies
11
Views
2K
Replies
4
Views
2K