Fiorella
- 17
- 0
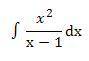
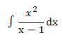
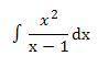
Hello, can someone help me solve this integral? I think I need to complete the square...I've tried many other things but I don't know what else to use 
and
With the last one I did long division and I ended up with: x + x/ (x - 1)...so I can easily solve the first integral of X but now I can't solve the other part... :(
and
With the last one I did long division and I ended up with: x + x/ (x - 1)...so I can easily solve the first integral of X but now I can't solve the other part... :(
Last edited: