How does the formula sheet help solve the problem?

  • Thread starter Thread starter Matt1234
  • Start date Start date
  • Tags Tags
    deriving Formula
Click For Summary
SUMMARY

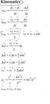
The discussion focuses on understanding the relationship between the area under a velocity-time graph and the equations of motion in physics. The key formula derived is d = vit + ½at², where 'd' represents distance, 'vi' is the initial velocity, 'a' is acceleration, and 't' is time. The acceleration 'a' is defined as the change in velocity (Δv) over the change in time (Δt), which is crucial for solving problems involving motion. The formula sheet provided serves as a reference for applying these concepts effectively.

PREREQUISITES
  • Understanding of basic kinematics principles
  • Familiarity with velocity-time graphs
  • Knowledge of algebraic manipulation of equations
  • Basic concepts of acceleration and its calculation
NEXT STEPS
  • Study the derivation of the equations of motion in physics
  • Learn how to interpret velocity-time graphs
  • Practice problems involving the calculation of distance using d = vit + ½at²
  • Explore the relationship between acceleration, velocity, and time in various contexts
USEFUL FOR

This discussion is beneficial for students in introductory physics courses, educators teaching kinematics, and anyone looking to strengthen their understanding of motion equations and graph interpretation.

Matt1234
Messages
141
Reaction score
0

Homework Statement



See the attachment please.


The Attempt at a Solution



I know the v1 x delta (t) is for the rectangle,
I don't see how the second part works? I don't understand why the t^2 and how a replaces the area formula i have written.


Thanks for your help, its my first day of class today, and its been a while since i was last in a physics / math class.

EDIT: I added a formula sheet we were given, sorry i just don't see the relationship right now..
 

Attachments

  • Scan.jpg
    Scan.jpg
    11.9 KB · Views: 443
  • Scan1.jpg
    Scan1.jpg
    8 KB · Views: 447
Last edited:
Physics news on Phys.org
You can replace [itex]\Delta v = v_2 - v_1[/itex] by the acceleration a. In the picture, the acceleration is the slope of the line, algebraically it is given by
[tex]a = \frac{\Delta v}{\Delta t}[/tex].

So just write down the area of the triangle and do the substitution.
 
from the second equation on the formula sheet,
a=[tex]\Delta[/tex]v/[tex]\Delta[/tex]t
a=(vf-vi)/t

from the graph, d=vit+[tex]\frac{1}{2}[/tex](vf-vi)*t
therefore, d=vit+[tex]\frac{1}{2}[/tex]at2
(since vf-vi=at)
 

Similar threads

Replies
5
Views
2K
Replies
16
Views
4K
Replies
9
Views
2K
  • · Replies 9 ·
Replies
9
Views
2K
  • · Replies 4 ·
Replies
4
Views
1K
  • · Replies 5 ·
Replies
5
Views
3K
  • · Replies 21 ·
Replies
21
Views
5K
Replies
4
Views
2K
  • · Replies 6 ·
Replies
6
Views
2K