How is this a representation of a 3 dimensional torus?

  • Context: Undergrad 
  • Thread starter Thread starter docnet
  • Start date Start date
  • Tags Tags
    Representation Torus
Click For Summary

Discussion Overview

The discussion revolves around the representation of a 2-dimensional torus, particularly in the context of differential geometry. Participants explore how this torus can be visualized within three-dimensional space and its relationship to higher-dimensional spaces.

Discussion Character

  • Exploratory, Technical explanation, Conceptual clarification

Main Points Raised

  • One participant initially questions how a torus can be visualized as embedded in 3 dimensions given the equations provided, suggesting a possible confusion with higher-dimensional spaces.
  • Another participant asserts that the object in question is indeed a two-dimensional torus.
  • A participant explains the conceptualization of a torus as a circle rotated around another circle, linking the equations to their respective circular paths.
  • One contribution discusses the notion of the torus existing in 4-dimensional space, describing the intersection of two orthogonal Euclidean planes and how the equations define cylinders in these spaces.
  • A later reply clarifies that the torus can be viewed as a product of two sets defined by circular equations, enhancing the understanding of its structure.

Areas of Agreement / Disagreement

Participants express differing views on the dimensionality and visualization of the torus, with some asserting it is a two-dimensional object while others explore its representation in higher dimensions. The discussion remains unresolved regarding the clarity of visualization in three-dimensional space.

Contextual Notes

Participants reference the intersection of higher-dimensional spaces and the implications of defining a torus through specific equations, indicating potential limitations in understanding without further context on the dimensionality and geometry involved.

docnet
Messages
796
Reaction score
487
TL;DR
How is this expression of a torus?
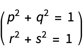
In a differential geometry text, a torus is defined by the pair of equations:

Screen Shot 2020-10-05 at 11.08.47 AM.png


I initially thought this was somehow a torus embedded in 4 dimensions, but I do not see how we can visualize two orthogonal 2-dimensional Euclidian spaces. How is this a representation of a 2 dimensional torus embedded in 3 dimensions, with 4 presumably orthogonal coordinates?
 
Last edited:
Physics news on Phys.org
This is a two dimensional torus.
 
The idea is you can imagine a torus as a circle rotated around in a circle. The first equation defines your location on the first circle, and the second the second circle.
 
  • Like
Likes   Reactions: docnet
in 4 space with coords p,q,r,s, the subspaces p=q=0 and r=s=0 are two orthogonal euclidean 2 dimensional spaces. this torus meets each of them in a circle.

Alternatively, R^4 = R^2 x R^2 is the product of two orthogonal euclidean planes. your two equations define two (3 dimensional) "cylinders", one in each of these products, i.e. S^1 x R^2 and R^2 x S^1. Setting both equations equal to zero defines the intersection of these two cylinders, namely (S^1xR^2)intersect(R^2xS^1) = S^1xS^1.
 
  • Like
Likes   Reactions: docnet
thank you for your replies. It makes more sense now. It is a product of the sets {p^2+q^2=1} and {r^2+s^2=1}.
 
  • Like
Likes   Reactions: mathwonk

Similar threads

  • · Replies 8 ·
Replies
8
Views
4K
  • · Replies 2 ·
Replies
2
Views
3K
  • · Replies 8 ·
Replies
8
Views
3K
  • · Replies 15 ·
Replies
15
Views
3K
  • · Replies 6 ·
Replies
6
Views
3K
  • · Replies 6 ·
Replies
6
Views
3K
  • · Replies 6 ·
Replies
6
Views
2K
  • · Replies 8 ·
Replies
8
Views
2K
  • · Replies 18 ·
Replies
18
Views
3K
  • · Replies 19 ·
Replies
19
Views
5K