How to Calculate Symmetric Relations in Set Theory?

  • Context: Undergrad 
  • Thread starter Thread starter jwxie
  • Start date Start date
  • Tags Tags
    Relations Symmetric
Click For Summary
SUMMARY

The discussion focuses on calculating the number of symmetric relations on the set A = {1, 2, 3, 4, 5, 6, 7} that contain a specified number of ordered pairs. The user seeks guidance on how to determine the number of symmetric relations containing exactly four, five, seven, and eight ordered pairs. The approach involves understanding the symmetry of relations represented in a 7x7 table, where the main diagonal and positions above it dictate the relations. The calculations utilize combinatorial formulas such as binomial coefficients to derive the number of valid configurations for each specified case.

PREREQUISITES
  • Understanding of set theory and relations
  • Familiarity with symmetric relations and their properties
  • Knowledge of combinatorial mathematics, specifically binomial coefficients
  • Ability to interpret mathematical representations in tabular form
NEXT STEPS
  • Study the properties of symmetric relations in set theory
  • Learn about binomial coefficients and their applications in combinatorics
  • Explore examples of calculating relations on finite sets
  • Investigate advanced topics in set theory, such as equivalence relations and their characteristics
USEFUL FOR

Students of mathematics, particularly those studying set theory, combinatorics, and discrete mathematics, as well as educators looking for instructional strategies for teaching these concepts.

jwxie
Messages
278
Reaction score
0
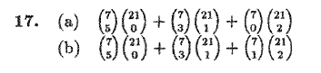
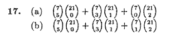
Hi.

Let A = 1,2,3,4,5,6,7
How many symmetric relations on A contain exactly (a) four ordered pairs, (b) 5 , (c) seven and (d) eight

The book has solutions to the first two, which I didn't understand at all.

Please look the pic below
scymv4.png


Can someone guide me through how to approach the problem?

Thanks
 
Physics news on Phys.org
jwxie said:
Hi.

Let A = 1,2,3,4,5,6,7
How many symmetric relations on A contain exactly (a) four ordered pairs, (b) 5 , (c) seven and (d) eight

The book has solutions to the first two, which I didn't understand at all.

Please look the pic below
scymv4.png


Can someone guide me through how to approach the problem?

Thanks
You can imagine any relation a a table with 7 rows and 7 columns, where you indicate in each position whether the corresponding elements belong to the relation. (This is basically the same as working with the graph of this relation.)

A relation is symmetric if and only if this graph/table is symmetric with respect to the main diagonal. Hence, a symmetric relation is uniquely determined by the pairs on and above the main diagonal.
You have 7 positions on diagonal and 21=6+5+4+3+2+1 positions above the diagonal.
If you put a elements above the diagonal, then there are also a elements bellow it, by the symmetry. So, by putting a elements above the diagonal and b elements on the diagonal, you obtain a relation consisting of 2a+b pairs.

Now, if you want to have 4 elements you have these possibilities:
all 4 elements are on the diagonal [tex]\binom{7}{4}[/tex];
2 elements on the diagonal and 1 above it [tex]\binom72\binom{21}1[/tex];
no element on the diagonal and 2 above it [tex]\binom{21}2[/tex].

For 5 elements you have the following possibilieites:
All 5 elements on the diagonal [tex]\binom75[/tex];
3 elements on the diagonal and 1 above it [tex]\binom73+\binom{21}1[/tex];
1 element on the diagonal and 2 above it [tex]\binom71+\binom{21}2[/tex].
 

Similar threads

  • · Replies 35 ·
2
Replies
35
Views
5K
Replies
3
Views
3K
  • · Replies 14 ·
Replies
14
Views
2K
  • · Replies 3 ·
Replies
3
Views
3K
  • · Replies 14 ·
Replies
14
Views
6K
  • · Replies 8 ·
Replies
8
Views
14K
  • · Replies 1 ·
Replies
1
Views
2K
  • · Replies 1 ·
Replies
1
Views
1K
  • · Replies 4 ·
Replies
4
Views
4K
  • · Replies 13 ·
Replies
13
Views
3K