How to evaluate this definite integral?

Click For Summary

Discussion Overview

The discussion revolves around evaluating a definite integral, with participants exploring methods to transform one integral into another. The conversation includes elements of calculus, specifically focusing on substitution techniques in integration.

Discussion Character

  • Homework-related
  • Mathematical reasoning

Main Points Raised

  • Some participants suggest that transforming the second integral into the form of the first integral is necessary for solving the problem.
  • One participant mentions the concept of u-substitution and expresses uncertainty about what to substitute.
  • Another participant proposes letting u = sqrt(x) and derives the relationship between dx and du, leading to a simplification of the integral.
  • A participant claims that the final result of the integral is 6, based on the calculations presented.
  • There is a reminder that such questions should be posted in the Homework & Coursework section rather than the math technical sections.

Areas of Agreement / Disagreement

Participants express uncertainty about the substitution process and whether the proposed method is correct. While one participant confirms the final answer, there is no consensus on the overall approach or the correctness of the steps taken.

Contextual Notes

There are unresolved aspects regarding the substitution method and the specific details of the integral transformation. The discussion does not clarify all assumptions or steps involved in the integration process.

nashsth
Messages
16
Reaction score
0
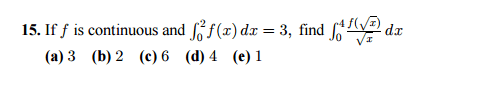
Hello, I don't know how to approach this problem, provided in the image below:

upload_2015-11-22_21-57-25.png


I am assuming that in order to solve this problem, you have to transform the 2nd integral into the form of the first integral, but I am not sure if that's even the way to solve it, and even if it was, I don't know how to transform it. Any help would be appreciated.

Thanks :-)
 
Physics news on Phys.org
nashsth said:
Hello, I don't know how to approach this problem, provided in the image below:

View attachment 92273

I am assuming that in order to solve this problem, you have to transform the 2nd integral into the form of the first integral, but I am not sure if that's even the way to solve it, and even if it was, I don't know how to transform it. Any help would be appreciated.

Thanks :-)
Have you studied u-substitution for indefinite integration yet?
 
SteamKing said:
Have you studied u-substitution for indefinite integration yet?

We learned about it a few days ago... I don't know what to substitute to solve the problem :-(
 
nashsth said:
We learned about it a few days ago... I don't know what to substitute to solve the problem :-(
Ohh ok I see I see

so you let u = sqrt(x), then x = u^2, so that du = 2u du

Then you plug them into the 2nd integral, and then you get integral of f(u) / u * 2u du, which then simplifies into 2 * integral of f(u) du, which is 3, as given by the first integral, so that the answer is 2*3 = 6.

Is this right? O_O
 
nashsth said:
Ohh ok I see I see

so you let u = sqrt(x), then x = u^2, so that du = 2u du
So dx = 2udu...
nashsth said:
Then you plug them into the 2nd integral, and then you get integral of f(u) / u * 2u du, which then simplifies into 2 * integral of f(u) du, which is 3, as given by the first integral, so that the answer is 2*3 = 6.

Is this right? O_O
Yes

In the future, please post questions like this one in the Homework & Coursework section, not here in the math technical sections.
 
Mark44 said:
So dx = 2udu...
Yes

In the future, please post questions like this one in the Homework & Coursework section, not here in the math technical sections.

Thanks for your help :-) And yes I will make sure to post similar questions to the appropriate sections. Apologies for the inconvenience
 

Similar threads

  • · Replies 2 ·
Replies
2
Views
2K
  • · Replies 4 ·
Replies
4
Views
2K
  • · Replies 11 ·
Replies
11
Views
3K
  • · Replies 3 ·
Replies
3
Views
3K
  • · Replies 3 ·
Replies
3
Views
2K
  • · Replies 6 ·
Replies
6
Views
3K
  • · Replies 3 ·
Replies
3
Views
3K
  • · Replies 21 ·
Replies
21
Views
4K
  • · Replies 23 ·
Replies
23
Views
5K
  • · Replies 16 ·
Replies
16
Views
4K