How to perform this integration?

  • Thread starter Thread starter xmtung
  • Start date Start date
  • Tags Tags
    Integration
Click For Summary

Homework Help Overview

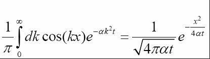
The discussion revolves around a specific integration problem involving the integral of a product of cosine and an exponential function, specifically ∫cos(kx)exp[(-αt)K^2] dk from zero to infinity.

Discussion Character

  • Exploratory, Mathematical reasoning

Approaches and Questions Raised

  • Participants discuss the integration process, including the conversion of cosine into exponential terms and the suggestion to complete the squares in the exponents. There is also mention of a change of variable and referencing known results related to exponential functions.

Discussion Status

The discussion is ongoing, with participants exploring various approaches to the integration. Some guidance has been offered regarding the manipulation of the integrand, but no consensus or final solution has been reached.

Contextual Notes

One participant noted an issue with viewing the original problem statement, indicating a potential barrier to fully understanding the context of the integration.

xmtung
Messages
2
Reaction score
0

Homework Statement



The integration:
 

Attachments

  • 圖片1.png
    圖片1.png
    2.2 KB · Views: 566
Physics news on Phys.org
...I can't view the picture...try re-upping it as a jpeg or something so
 
I re-upload the pic. The integration is that ∫cos(kx)exp[(-αt)K^2] dkfrom zero to infinity
 

Attachments

  • 圖片1.jpg
    圖片1.jpg
    5.6 KB · Views: 453
Convert cos(kx) to (exp(ikx)+exp(-ikx))/2. Combine the exponentials and complete the squares in the exponents. Now do a change of variable and use the known result for exp(-Cx^2).
 

Similar threads

  • · Replies 4 ·
Replies
4
Views
2K
  • · Replies 5 ·
Replies
5
Views
2K
Replies
30
Views
1K
  • · Replies 5 ·
Replies
5
Views
1K
  • · Replies 19 ·
Replies
19
Views
3K
  • · Replies 4 ·
Replies
4
Views
1K
  • · Replies 9 ·
Replies
9
Views
2K
Replies
2
Views
3K
Replies
3
Views
1K
Replies
5
Views
2K