How to prove the normal distribution tail inequality for large x ?

Click For Summary

Discussion Overview

The discussion revolves around proving the normal distribution tail inequality for large values of x, specifically focusing on lemma (7.1) and problem 1 related to the proof. Participants are examining the mathematical expressions and derivatives involved in the proof process, as well as seeking clarification on specific steps and computations.

Discussion Character

  • Technical explanation
  • Mathematical reasoning
  • Homework-related

Main Points Raised

  • Some participants inquire about the meaning of the proof and the last statement, expressing confusion about lemma (7.1) and problem 1.
  • Several participants present calculations involving derivatives of expressions related to the normal distribution, specifically noting that the left side of the inequality is slightly less than n(x) and the right side is slightly more.
  • There is a discussion on how to find the derivative n'(x) and its implications for the proof, with participants showing the steps leading to the conclusion that the derivatives of certain expressions are negatives of others.
  • Some participants suggest writing lemma (7.1) in a form similar to (1.8) and taking derivatives to align with the proof structure of (1.9).
  • One participant expresses a desire for clarification on how to use the formulas of the CDF of the normal distribution to prove lemma 7.1, asking for explanations of specific computations highlighted in the proof.

Areas of Agreement / Disagreement

Participants generally express confusion and seek clarification on the proof and its components, indicating that there is no consensus on the understanding of lemma (7.1) or the computations involved.

Contextual Notes

Some limitations in the discussion include missing assumptions regarding the proofs, dependence on specific definitions of terms, and unresolved mathematical steps that participants are attempting to clarify.

WMDhamnekar
MHB
Messages
381
Reaction score
30
1635782991047.png

1635783023489.png

1635783043074.png


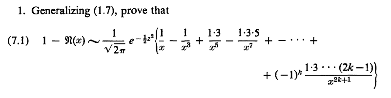
What is the meaning of this proof? What is the meaning of last statement of this proof? How to prove lemma (7.1)? or How to answer problem 1 given below?

1635783071928.png
1635783082068.png

1635784677943.png
 
Last edited:
Physics news on Phys.org
Dhamnekar Winod said:
View attachment 11392
View attachment 11393

What is the meaning of this proof? What is the meaning of last statement of this proof? How to prove lemma (7.1)? or How to answer problem 1 given below?

If $x>0$ then the inequality in (1.9) must be true, because the left side is then slightly less than n(x), and the right side is slightly more than n(x).

Let's consider the derivatives of the expressions in (1.8).
$$\frac d{dx}(1-\Re(x)) = -\Re'(x) = -n(x)$$

Let's first find $n'(x)$.
We have:
$$n'(x)=\frac d{dx} \frac 1{\sqrt{2\pi}} e^{-\frac 12x^2} = \frac 1{\sqrt{2\pi}} e^{-\frac 12x^2} \cdot -x =-xn(x)$$
Then we have for instance:
$$\frac d{dx}(x^{-1}n(x)) = -x^{-2}n(x) + x^{-1}n'(x) = -x^{-2}n(x)+x^{-1}\cdot -x n(x) = -(1+x^{-2})n(x)$$
So we see that the derivatives of the expressions in (1.8) are indeed the negatives of the expressions in (1.9).

We have that $1-\Re(x)$ is in between 2 expressions, so its integration must also be between the integrations of the those 2 expressions.
Qed.

To prove the more general formula, we need to repeat these steps for the additional terms.
 
Klaas van Aarsen said:
If $x>0$ then the inequality in (1.9) must be true, because the left side is then slightly less than n(x), and the right side is slightly more than n(x).

Let's consider the derivatives of the expressions in (1.8).
$$\frac d{dx}(1-\Re(x)) = -\Re'(x) = -n(x)$$

Let's first find $n'(x)$.
We have:
$$n'(x)=\frac d{dx} \frac 1{\sqrt{2\pi}} e^{-\frac 12x^2} = \frac 1{\sqrt{2\pi}} e^{-\frac 12x^2} \cdot -x =-xn(x)$$
Then we have for instance:
$$\frac d{dx}(x^{-1}n(x)) = -x^{-2}n(x) + x^{-1}n'(x) = -x^{-2}n(x)+x^{-1}\cdot -x n(x) = -(1+x^{-2})n(x)$$
So we see that the derivatives of the expressions in (1.8) are indeed the negatives of the expressions in (1.9).

We have that $1-\Re(x)$ is in between 2 expressions, so its integration must also be between the integrations of the those 2 expressions.
Qed.

To prove the more general formula, we need to repeat these steps for the additional terms.
But, how to use this information to solve the given problem 1 or lemma 7.1?
 
Dhamnekar Winod said:
But, how to use this information to solve the given problem 1 or lemma 7.1?
Write (7.1) in the same form as (1.8) with the series on the left and also on the right.
Take the derivatives to find an expression that is in the same form as (1.9).
Then the proof follows in the same fashion.
 
Klaas van Aarsen said:
Write (7.1) in the same form as (1.8) with the series on the left and also on the right.
Take the derivatives to find an expression that is in the same form as (1.9).
Then the proof follows in the same fashion.
Thanks for your answer. But sorry for not understanding it. I want to know your way of answering this problem.
But I got some math help from wikipedia.
1635875496626.png


How can we use the above two formulas of CDF of Normal distribution to prove lemma 7.1 in the original question?

I got the following proofs of expansion of CDF of standard normal distribution.

1635919963509.png


CDFNDINT.png

CDFNDINT2.png

CDFNDINT1.png

1635921860126.png


In the above expansions of CDF of standard normal distribution, I want to know how the highlighted or marked computations was performed. If any member of this MHB knows the method of these computations, may explain it in reply.

Following is the simple proof:
1635922488791.png

1635922506052.png

How the last omitted term was computed by the author?
 
Last edited:

Similar threads

  • · Replies 31 ·
2
Replies
31
Views
5K
  • · Replies 2 ·
Replies
2
Views
2K
Replies
1
Views
4K
  • · Replies 1 ·
Replies
1
Views
2K
  • · Replies 5 ·
Replies
5
Views
3K
Replies
2
Views
2K
  • · Replies 6 ·
Replies
6
Views
2K
  • · Replies 7 ·
Replies
7
Views
3K
  • · Replies 1 ·
Replies
1
Views
2K
  • · Replies 1 ·
Replies
1
Views
1K