How to solve SUVAT problem without using relative velocity

Click For Summary

Homework Help Overview

The problem involves calculating the time taken for one particle to catch up with another, specifically using the SUVAT equations of motion. The original poster expresses confusion about the methods available for solving this problem without relying on relative velocity.

Discussion Character

  • Exploratory, Assumption checking, Problem interpretation

Approaches and Questions Raised

  • Participants discuss writing separate expressions for the positions of each particle and equating them to find the meeting point. There is a question about the advantages of this method compared to using relative velocity. Some participants explore the implications of having separate accelerations for the particles and whether the relative approach remains valid in that context.

Discussion Status

The discussion is ongoing, with participants exploring different approaches to the problem. There is no explicit consensus on the best method, but several productive lines of reasoning have been presented regarding the use of simultaneous equations versus relative velocity.

Contextual Notes

Participants are considering the implications of different methods in the context of potential complexities in particle motion, such as varying accelerations. The original poster has referenced attachments for additional context, which may contain relevant variables.

rollcast
Messages
403
Reaction score
0

Homework Statement


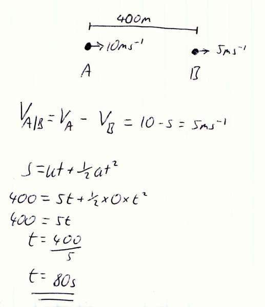
Calculate the time taken for particle A to catch up with particle B.
See attachment for variables.

I worked out the answer by finding the relative velocity of A wrt B but apparently there's another method I should have/could have used to solve it?


Homework Equations



SUVAT equations of motion


The Attempt at a Solution



See attachment.

Thanks
AL
 

Attachments

  • img001.jpg
    img001.jpg
    13.9 KB · Views: 591
Physics news on Phys.org
You could write separate expressions for the positions of each particle, then equate them to find when the positions are the same.
 
So call the final displacement when they meet, x, get 2 equations and then solve them as simultaneous equations?

Is there any advantage to that approach compared to just working out the relative velocity?
 
rollcast said:
So call the final displacement when they meet, x, get 2 equations and then solve them as simultaneous equations?

Is there any advantage to that approach compared to just working out the relative velocity?

Either approach could be transformed into the other via suitable algebraic slight of hand. The separate equation approach has the advantage that it may be more straightforward when the particle motions are more complicated. For example, suppose that both particles also had separate accelerations?
 
gneill said:
Either approach could be transformed into the other via suitable algebraic slight of hand. The separate equation approach has the advantage that it may be more straightforward when the particle motions are more complicated. For example, suppose that both particles also had separate accelerations?

But the relative approach will still work with accelerations?

Do you just work out the acceleration of one relative to the other or do you have to use v=u+at for both and then then subtract the 2?
 
rollcast said:
But the relative approach will still work with accelerations?

Do you just work out the acceleration of one relative to the other or do you have to use v=u+at for both and then then subtract the 2?

It amounts to the same thing.
 

Similar threads

Replies
25
Views
2K
  • · Replies 20 ·
Replies
20
Views
3K
  • · Replies 98 ·
4
Replies
98
Views
7K
  • · Replies 88 ·
3
Replies
88
Views
6K
  • · Replies 2 ·
Replies
2
Views
2K
  • · Replies 5 ·
Replies
5
Views
3K
  • · Replies 13 ·
Replies
13
Views
2K
  • · Replies 21 ·
Replies
21
Views
1K
Replies
14
Views
3K
Replies
19
Views
3K