How to Solve the 3D Heat Equation with Limited PDE Experience?

  • Context: Undergrad 
  • Thread starter Thread starter Andy123
  • Start date Start date
  • Tags Tags
    Heat Heat equation
Click For Summary
SUMMARY

The discussion centers on solving the 3D heat equation using limited experience in partial differential equations (PDEs), specifically through the method of separation of variables. The participant seeks guidance on whether a closed-form solution exists for the heat equation within a defined box (omega) and how to effectively approach this mathematical problem. The conversation highlights the importance of understanding both the theoretical and practical aspects of PDEs in this context.

PREREQUISITES
  • Basic understanding of partial differential equations (PDEs)
  • Familiarity with the method of separation of variables
  • Knowledge of boundary conditions relevant to the heat equation
  • Concept of closed-form solutions in mathematical analysis
NEXT STEPS
  • Research the derivation of the 3D heat equation and its applications
  • Study the method of separation of variables in depth
  • Explore boundary value problems associated with the heat equation
  • Investigate numerical methods for approximating solutions to PDEs
USEFUL FOR

Students and professionals in mathematics, physics, and engineering who are looking to deepen their understanding of partial differential equations and their applications in real-world scenarios.

Andy123
Messages
20
Reaction score
0
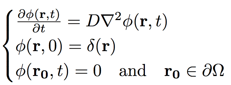
I have not much experience in solving pde before except using the separation of variables. I am trying to solve the following equation where omega is a box. Is there a close form of the solution? How should I approach the problem? Much thanks!
 

Attachments

  • Screen Shot 2016-09-25 at 11.29.36 PM.png
    Screen Shot 2016-09-25 at 11.29.36 PM.png
    9.7 KB · Views: 595
Physics news on Phys.org
Is this question purely about the mathematics or do you want to solve some practical problem ?
 
Last edited:

Similar threads

  • · Replies 4 ·
Replies
4
Views
4K
  • · Replies 36 ·
2
Replies
36
Views
6K
  • · Replies 2 ·
Replies
2
Views
3K
  • · Replies 3 ·
Replies
3
Views
4K
Replies
4
Views
4K
  • · Replies 4 ·
Replies
4
Views
3K
  • · Replies 1 ·
Replies
1
Views
3K
  • · Replies 2 ·
Replies
2
Views
2K
  • · Replies 2 ·
Replies
2
Views
3K
  • · Replies 6 ·
Replies
6
Views
3K