HW about presure and wight I need your consulting

  • Thread starter Thread starter sky08
  • Start date Start date
Click For Summary

Homework Help Overview

The problem involves a U-tube partially filled with oil and a solid cylinder placed in one arm, seeking to find the weight of the cylinder in terms of various parameters. The discussion revolves around concepts of pressure, equilibrium, and the relationship between the weight of the cylinder and the fluid displaced.

Discussion Character

  • Exploratory, Assumption checking, Conceptual clarification

Approaches and Questions Raised

  • Participants discuss the equilibrium condition, questioning how the weight of the cylinder relates to the height of the fluid and the dimensions of the U-tube. There are attempts to clarify why certain variables, particularly height (h), do not appear in the final expression for the weight of the cylinder.

Discussion Status

The discussion is ongoing, with participants providing insights and questioning assumptions. Some guidance has been offered regarding the relationship between the weight of the cylinder and the displaced fluid, but no consensus has been reached on the role of height in the final expression.

Contextual Notes

Participants note that the problem is constrained by the requirement to express the weight of the cylinder in terms of specific variables, leading to confusion about the relevance of height in the solution.

sky08
Messages
10
Reaction score
0

Homework Statement


a U-tube with cross-sectional area A and partially filled with oil of density S. A solid cylinder, which fits the tube tightly but can slide without friction, is placed in the right arm. The system is in equilibrium. Find the weight of the cylinder in terms of g, h, A, L, and S.


Homework Equations


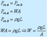
I'm using these relationship ;where F is the force of the wight (F=W) & h is height
P=F/A=W/A
delta(P) = S*g*delta(h)

The Attempt at a Solution



look at my solving and also the figure of question in attachment and tell me what is the wrong in my steps ? why h doesn't appears in the last result?
and thank you very much for your helping before
 

Attachments

  • my steps in solution.png
    my steps in solution.png
    633 bytes · Views: 474
  • U-tube.png
    U-tube.png
    1.9 KB · Views: 408
Physics news on Phys.org
point A and point B I take them in same level where A under the cylinder directly and B in versus side
>>
Hi misters; anybody can help me, please
 
sky08 said:
point A and point B I take them in same level where A under the cylinder directly and B in versus side

To be in equilibrium won't the weight of the cylinder equal the weight of the volume of water of height L on the other side?

Volume is Area times L on the left. Density of water is p.
So isn't that simply W = pgAL
 
LowlyPion said:
To be in equilibrium won't the weight of the cylinder equal the weight of the volume of water of height L on the other side?

Volume is Area times L on the left. Density of water is p.
So isn't that simply W = pgAL


why (h) doesn't appears in the last result?

yah I understand you ..
but your result or the weight of cylinder should be depend on all the variables as the Q.

[Find the weight of the cylinder in terms of g, h, A, L, and S.(S or p is density)]
pleas can you explain >>>

thank you Mr.LowlyPion
 
sky08 said:
why (h) doesn't appears in the last result?

I took that to mean to express the answer in the unknowns given by the drawing. The answer by inspection of the drawing looks to be independent of h.

Think of it this way. What property of the weight of the cylinder has anything to do with h? L on the other hand defines the volume of oil required to be displaced to hold the cylinder in equilibrium. (You remember Archimedes don't you?)

In your solution you used area in the wrong manner on the weight. It's the weight of the cylinder divided by A that establishes pressure.

What you can say about h is that the solution is only valid for h greater than the diameter of the tube - A/2pi*U2
 
yah that is clearly ... thank you Mr.LowlyPion for your helping
there are small thing also , from where you find this A/2pi*U^2 (U?) ?
 

Similar threads

  • · Replies 6 ·
Replies
6
Views
2K
Replies
13
Views
2K
  • · Replies 19 ·
Replies
19
Views
2K
  • · Replies 7 ·
Replies
7
Views
3K
  • · Replies 2 ·
Replies
2
Views
2K
  • · Replies 14 ·
Replies
14
Views
3K
Replies
1
Views
2K
  • · Replies 15 ·
Replies
15
Views
5K
  • · Replies 1 ·
Replies
1
Views
4K
  • · Replies 2 ·
Replies
2
Views
4K