Hyperbolic partial differential equation

Click For Summary

Discussion Overview

The discussion revolves around finding the general solution to a hyperbolic partial differential equation related to a damping function, with participants exploring various forms of solutions and their implications. The scope includes mathematical reasoning and technical explanations regarding the nature of the solutions.

Discussion Character

  • Technical explanation
  • Mathematical reasoning
  • Debate/contested

Main Points Raised

  • One participant proposes that the general solution must include an exponential term in time, suggesting a form of ##h_1=e^{-a*t}## as part of the solution.
  • Another participant questions the addition of terms to the solution, specifically whether adding a term like ##k_2 x## is valid.
  • Some participants emphasize that the general solution consists of all homogeneous solutions that satisfy the differential equation, indicating that multiple terms may be necessary.
  • One participant mentions the existence of wave-like solutions of the form ##h(x,t) = f(x - vt)## and separable solutions involving exponential and oscillatory components.
  • There is a suggestion that the initial conditions could be used to verify the completeness of the proposed solutions.

Areas of Agreement / Disagreement

Participants express differing views on the validity and completeness of the proposed solutions, with no consensus reached on the general solution or the appropriateness of adding specific terms.

Contextual Notes

Participants note that the discussion involves assumptions about the nature of the solutions and the conditions under which they hold, but these assumptions remain unresolved.

Who May Find This Useful

Individuals interested in hyperbolic partial differential equations, mathematical modeling of damping systems, and the exploration of solution methods in applied mathematics may find this discussion relevant.

Elkholy
Messages
2
Reaction score
0
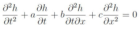
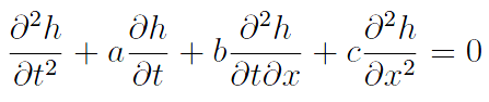
What is the general solution of the following hyperbolic partial differential equation:
upload_2015-7-8_15-21-26.png

The head (h) at a specified distance (x) is a sort of a damping function in the form:
upload_2015-7-8_15-28-5.png

Where, a, b, c and d are constants. And the derivatives are with respect to t (time) and x (distance).

Thanks in advance.
 
Physics news on Phys.org
Well, just looking at it, you know it has to be exponential in t. If we guess ##h_1=e^{-a*t}##, that works as one homogeneus solution, although the second 2 terms become arbitrary. So h_1 is part of the general solution, we just need other solutions to make the second 2 terms non arbitrary. So the second derivative with respect to x must differ from partial x partial t only by a constant. x works, as it's derivative is zero for all partials above, so far we have ##h_{1+2}=k_1e^{-a*t}+k_2x## where ##k_{n}## is an arbitrary constant. Now you try to throw a few out there, I have a feeling there are a lot, or at least one more function of x and t. I honestly don't know though.
 
BiGyElLoWhAt said:
Well, just looking at it, you know it has to be exponential in t. If we guess ##h_1=e^{-a*t}##, that works as one homogeneus solution, although the second 2 terms become arbitrary. So h_1 is part of the general solution, we just need other solutions to make the second 2 terms non arbitrary. So the second derivative with respect to x must differ from partial x partial t only by a constant. x works, as it's derivative is zero for all partials above, so far we have ##h_{1+2}=k_1e^{-a*t}+k_2x## where ##k_{n}## is an arbitrary constant. Now you try to throw a few out there, I have a feeling there are a lot, or at least one more function of x and t. I honestly don't know though.

I know that the governing differential equation of a free vibration of a damped system has this form
upload_2015-7-8_18-59-34.png

and its solution (subject to initial conditions) is
upload_2015-7-8_19-0-5.png

where,
upload_2015-7-8_19-0-22.png
, ω_n is the natural frequency and ζ is a damping factor <1 and if drawn it gives
upload_2015-7-8_19-2-27.png

But, the problem here is the third and the fourth terms.
Is it right to just add this term k_2 x to the previous solution?
 

Attachments

  • upload_2015-7-8_18-56-12.png
    upload_2015-7-8_18-56-12.png
    2.5 KB · Views: 643
The all cancel out. The general solution is the sum of all homogenous solutions (they all equal zero). This isn't an enveloped oscillator, at least as far as I can see.
 
Basically, the general solution to this differential equation is any terms that you can add to gether that, when you plug the whole thing into this PDE, equals zero. I will almost guarantee that there are more terms. One way you can check is by taking 2 initial conditions and plugging them into the function, see if this function satisfies both conditions, if not, then we're missing stuff.
 
Elkholy said:
What is the general solution of the following hyperbolic partial differential equation:
View attachment 85690
The head (h) at a specified distance (x) is a sort of a damping function in the form:
View attachment 85691
Where, a, b, c and d are constants. And the derivatives are with respect to t (time) and x (distance).

Thanks in advance.

There are wave-like solutions [itex]h(x,t) = f(x - vt)[/itex] where [itex]f[/itex] must satisfy [tex] (v^2 - bv + c)f'' - av f' = 0.[/tex]

There are also separable solutions of the form [itex]h(x,t) = X(x)e^{-kt}e^{i\omega t}[/itex] where [itex]X[/itex] must satisfy [tex] cX'' + b(-k + i\omega)X' + ((-k + i\omega)^2 + a(-k + i\omega))X = 0.[/tex]
 
  • Like
Likes   Reactions: hunt_mat

Similar threads

  • · Replies 10 ·
Replies
10
Views
3K
  • · Replies 2 ·
Replies
2
Views
2K
  • · Replies 1 ·
Replies
1
Views
2K
  • · Replies 3 ·
Replies
3
Views
2K
  • · Replies 5 ·
Replies
5
Views
4K
  • · Replies 5 ·
Replies
5
Views
3K
  • · Replies 1 ·
Replies
1
Views
3K
  • · Replies 5 ·
Replies
5
Views
2K
  • · Replies 3 ·
Replies
3
Views
4K
  • · Replies 1 ·
Replies
1
Views
4K