I would like opinions of the latest draft of my note - Integration

Click For Summary

Discussion Overview

The discussion revolves around a draft note titled "Evaluation of a Class of n-fold Integrals by Means of Hadamard Fractional Integration." Participants are providing feedback on the mathematical proofs presented in the note, which involves concepts from fractional calculus but claims to be accessible to those unfamiliar with the topic.

Discussion Character

  • Technical explanation
  • Debate/contested

Main Points Raised

  • Ben introduces his note and requests feedback from more experienced individuals in Analysis regarding his proofs.
  • Ben emphasizes that understanding fractional calculus is not necessary to grasp the content of his note, as it primarily utilizes a single interpolation theorem.
  • One participant questions whether there is a missing ##\frac{1}{t}## in Theorem 2.2, suggesting a potential oversight in the equation.
  • A later reply from another participant asserts that they do not believe there is a missing ##\frac{1}{t}##, indicating they have reviewed the equation.
  • Ben notes that a page was missing from his previous post and has since edited it to include the missing content.

Areas of Agreement / Disagreement

There is disagreement regarding the completeness of the equation in Theorem 2.2, with one participant questioning it and another asserting it is correct. The discussion remains unresolved on this point.

Contextual Notes

The discussion includes a potential oversight in the mathematical formulation presented in Theorem 2.2, which has not been definitively resolved.

benorin
Science Advisor
Insights Author
Messages
1,442
Reaction score
191
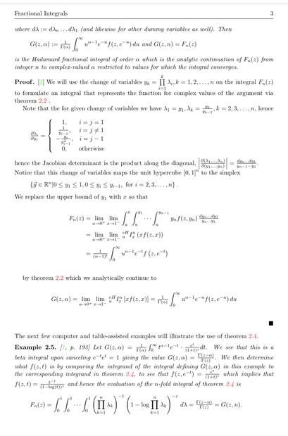
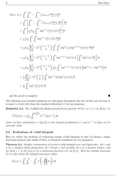
The note is entitled: Evaluation of a Class of n-fold Integrals by Means of Hadamard Fractional Integration. 4 pgs pdf format.

I assure you that you need not know anything about fractional calculus at all to understand this note that Howard Cohl helped me with. We only use a single interpolation theorem from fractional calculus to establish the result. Examples are given.

I was a lowly undergrad (senior math major) when last I was in school so I’d appreciate it if you more experienced Analysis ppl would give my proofs a once over please?

Thank you,
-Ben

I assure you that the attached pdf file does not contain viruses nor malicious macros, etc. just math. Promise.
 

Attachments

  • Like
Likes   Reactions: Wrichik Basu
Physics news on Phys.org
Images of each page of the pdf I will post here for a safe viewing experience.

740CCC1D-CB33-4A1F-A310-044A8DDFA459.jpeg

E55CBD51-4539-48C4-AC2F-316251FCA3E5.jpeg

6EF629E0-11BD-4AB3-A2DA-BED3B950724F.jpeg
86E93D57-EF9B-4E07-8A6F-53A963177CB5.jpeg

BDB4B6F3-8852-4CB0-849A-3ED865A49E6B.jpeg
 

Attachments

  • D11E1525-4115-4AFA-B97F-23EAEBF6144F.jpeg
    D11E1525-4115-4AFA-B97F-23EAEBF6144F.jpeg
    31.1 KB · Views: 205
Last edited:
In the equation in Theorem 2.2 are you missing a ##\frac{1}{t}## on the left hand side?
 
Paul Colby said:
In the equation in Theorem 2.2 are you missing a ##\frac{1}{t}## on the left hand side?
I don’t think so. I did look at it tho.
 
Noticed a page was missing from my #2 post in this thread (the screens, not the pdf), it has been edited in.