If you do not answer the above questions, you will not have a correct answer.

Click For Summary

Homework Help Overview

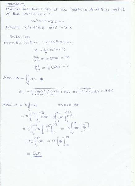
The problem involves determining the area of a surface defined by a portion of a paraboloid, specifically where the equation \( \frac{x^2}{2} + \frac{y^2}{2} - 2z = 0 \) holds under certain constraints in the x-y plane.

Discussion Character

  • Exploratory, Assumption checking, Problem interpretation

Approaches and Questions Raised

  • Participants discuss the method of computing the surface area using double integrals and the implications of the region defined by \( x^2 + y^2 \leq 8 \). There are questions regarding the assumptions made about the boundaries and the integration limits, particularly in relation to polar coordinates.

Discussion Status

The discussion is active with participants raising questions about the assumptions regarding the integration limits and the interpretation of the surface equation. Some guidance has been offered regarding the use of polar coordinates and the need to clarify the region of integration.

Contextual Notes

Participants are navigating the constraints of the problem, particularly the conditions \( y \geq x \) and the implications of the surface equation on potential points in the defined region.

oteggis
Messages
9
Reaction score
0

Homework Statement


Determine the area of the surface A of that portion of the paraboloid:
[x][/2]+[y][/2] -2z = 0

where [x][/2]+[y][/2]≤ 8 and y≥x

Homework Equations


Area A = ∫∫ dS

The Attempt at a Solution


Area A = ∫∫ dS = 3∫∫ dS
 

Attachments

  • Problem 4.jpg
    Problem 4.jpg
    17.8 KB · Views: 514
Physics news on Phys.org
The boundary of the projected area onto x-y plane has ## x^2+y^2 \leq 8 ## , but that doesn't mean in evaluating ## \sqrt{x^2+y^2+1} ## that ## x^2+y^2=8 ##.
 
√x2+y2+1x2+y2+1)dA gives dS
 
You need to compute ## S=\iint \sqrt{x^2+y^2+1} \, dxdy ## over the specified region of covered by ## x## and ##y ## in the x-y plane. Also see post 2 again.
 
Charles Link said:
You need to compute ## S=\iint \sqrt{x^2+y^2+1} \, dxdy ## over the specified region of covered by ## x## and ##y ## in the x-y plane. Also see post 2 again.
This will give Area = ∫∫ 3rdrdθ using cylindrical coordinates
 
Why are you assuming ## x^2+y^2=8 ##? ## \\ ## ## x ## and ## y ## need to be integrated over the circle where ## r<\sqrt{8}=2 \sqrt{2} ## and they cut that region in half by saying that ## y>x ##. ## \\ ## If you want to use polar coordinates ## x^2+y^2=r^2 ##, and ## r ## must be integrated from ## 0 ## to ## 2 \sqrt{2} ##. You will have ## \sqrt{r^2+1 } ## as the integrand.
 
oteggis said:
This will give Area = ∫∫ 3rdrdθ using cylindrical coordinates

No, it will not.

Can you have x=0 and y=0 for a point on the sueface? In other words, using the surface equation, is there a point z(x,y) = z(0,0) on it? can you have x=1/2 and y= 2 on the surface? That is, do we have a point z(x,y) = z(1/2,2) on it? do (x,y) = (0,0) and (x,y) = (1/2,2) satisfy the equation ##x^2+y^2 = 8##? Do they satisfy the inequality ##x^2+y^2 \leq 8?##
 
Last edited:
  • Like
Likes   Reactions: Charles Link

Similar threads

  • · Replies 4 ·
Replies
4
Views
2K
  • · Replies 3 ·
Replies
3
Views
2K
  • · Replies 6 ·
Replies
6
Views
2K
Replies
2
Views
1K
Replies
12
Views
3K
Replies
24
Views
3K
Replies
2
Views
3K
Replies
4
Views
2K
Replies
4
Views
3K
Replies
5
Views
2K