Improving Optics Accuracy with Digital Filtering and Ray Interpolation

  • Thread starter Thread starter aspodkfpo
  • Start date Start date
  • Tags Tags
    Optics
Click For Summary

Homework Help Overview

The discussion revolves around the accuracy of plotting intensity graphs related to optics, specifically in the context of light behavior in a pool. Participants are examining discrepancies between their diagrams and a reference solution, questioning the precision required for their plots.

Discussion Character

  • Exploratory, Assumption checking, Conceptual clarification

Approaches and Questions Raised

  • Participants are discussing the challenges of accurately plotting intensity based on given diagrams, with some questioning the leniency of grading for such tasks. There are inquiries about the specific requirements for the plots and how to interpret the light intensity based on the surface waves.

Discussion Status

Some participants have offered insights into the nature of light intensity and its relationship to the surface of the pool, suggesting that the second plot may be reasonable. Others have proposed methods for improving accuracy, such as counting rays and applying digital filtering techniques, while acknowledging the inherent difficulties in achieving a smooth curve from discrete data.

Contextual Notes

There is a lack of clarity regarding the original problem statement, which may affect the participants' ability to assess their work accurately. The discussion includes references to specific features of the diagrams that may not align with the expected outcomes.

aspodkfpo
Messages
148
Reaction score
5
Homework Statement
n/a
Relevant Equations
n/a
1597751633611.png


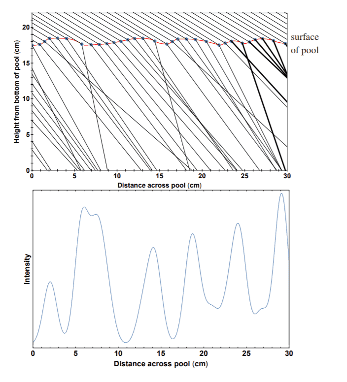
Just wondering whether it is actually possible to do this question accurately enough for it to basically look similar. Personally my diagram for the lines drawn in bold in the first diagram are slightly to the left compared to their diagram, by like 1cm on the x-axis, and in the second graph I do not have any of their ---\__ bumps.

If possible, how do you do this accurately, or is this one of those questions that are marked with leniency?
 
Physics news on Phys.org
aspodkfpo said:
Homework Statement:: n/a
Relevant Equations:: n/a

View attachment 267910

Just wondering whether it is actually possible to do this question accurately enough for it to basically look similar. Personally my diagram for the lines drawn in bold in the first diagram are slightly to the left compared to their diagram, by like 1cm on the x-axis, and in the second graph I do not have any of their ---\__ bumps.

If possible, how do you do this accurately, or is this one of those questions that are marked with leniency?

>Homework Statement:: n/a

It's kind of hard to answer your question without knowing what the problem statement is. Are you supposed to plot the intensity on the bottom of the pool for the instantaneous snapshot of the waves on the surface of the pool and the insolation angle as shown?
 
berkeman said:
>Homework Statement:: n/a

It's kind of hard to answer your question without knowing what the problem statement is. Are you supposed to plot the intensity on the bottom of the pool for the instantaneous snapshot of the waves on the surface of the pool and the insolation angle as shown?

We get the light-black lines on the first diagram and are then required to plot what is shown as the bold lines in the answers.
From the lines in the first graph, we make inferences and plot the second graph of intensity.
 
aspodkfpo said:
We get the light-black lines on the first diagram and are then required to plot what is shown as the bold lines in the answers.
From the lines in the first graph, we make inferences and plot the second graph of intensity.
In that case I think your 2nd plot is reasonable. The light from the sun is not coherent, so the intensity is just a function of how much light is getting concentrated where (by the ripples/waves on top of the pool surface). You can see this in real life in pools, BTW...

https://image.shutterstock.com/image-photo/empty-swimming-pool-on-bright-260nw-1406531447.jpg

1597753137280.png
 
  • Like
Likes   Reactions: etotheipi
It's always going to be a bit shaky here, since you're given a discrete number of lines and are asked to plot a continuous intensity curve.

A good start might be to determine intensity in the form ##\text{rays}\,\,\text{cm}^{-1}##, i.e. just count how many rays strike between each of the pairs of markings on the axes. That will give you something quite spiky, since lots of intervals have no rays striking, so I think you'll just have to use your best judgement.
 
berkeman said:
In that case I think your 2nd plot is reasonable. The light from the sun is not coherent, so the intensity is just a function of how much light is getting concentrated where (by the ripples/waves on top of the pool surface). You can see this in real life in pools, BTW...

https://image.shutterstock.com/image-photo/empty-swimming-pool-on-bright-260nw-1406531447.jpg

View attachment 267912

Just to clarify, the second diagram is the answers not mine. Mine did not have the double humps at 21 and 27, rather it looked like a quadratic curve. Was wondering whether that is accurate enough?
 
berkeman said:
In that case I think your 2nd plot is reasonable.
aspodkfpo said:
Just to clarify, the second diagram is the answers not mine.
Oh, no wonder it looks reasonable! :wink:
etotheipi said:
A good start might be to determine intensity in the form , i.e. just count how many rays strike between each of the pairs of markings on the axes. That will give you something quite spiky, since lots of intervals have no rays striking, so I think you'll just have to use your best judgement.
I agree (and this is probably what you did). You can then apply some lowpass digital filtering to your plot to smooth out the spikes and get closer to the answer plot. You could also try to interpolate more rays from the surface coming down to give you less spiky data to start with before applying your DSP LPF.
 
  • Informative
Likes   Reactions: etotheipi
berkeman said:
You can then apply some lowpass digital filtering to your plot to smooth out the spikes and get closer to the answer plot. You could also try to interpolate more rays from the surface coming down to give you less spiky data to start with before applying your DSP LPF.

That's very cool, I'd never heard of this technique before! There's some juicy details on the general theory here which I really enjoyed reading. Though dare say you'd probably have a hard time doing this during an olympiad :wink:
 
  • Like
Likes   Reactions: berkeman

Similar threads

  • · Replies 7 ·
Replies
7
Views
3K
Replies
20
Views
5K
  • · Replies 3 ·
Replies
3
Views
2K
Replies
7
Views
3K
  • · Replies 2 ·
Replies
2
Views
2K
  • · Replies 1 ·
Replies
1
Views
3K
  • · Replies 4 ·
Replies
4
Views
2K
  • · Replies 10 ·
Replies
10
Views
3K
  • · Replies 1 ·
Replies
1
Views
2K
  • · Replies 31 ·
2
Replies
31
Views
5K