Inelastic collision between two perpendicular particles

Click For Summary
SUMMARY

The discussion focuses on calculating the final velocities and angles of two particles after an inelastic collision, where particle m1 (3 kg) collides with particle m2 (2 kg) at right angles. The initial speeds are v1 (2 m/s) and v2 (3 m/s), with a coefficient of restitution e set at 0.4. The challenge arises from having three unknowns (final velocities and angles) but only two equations from the conservation of momentum and the coefficient of restitution, leading to confusion regarding the application of energy conservation in inelastic collisions.

PREREQUISITES
  • Understanding of conservation of momentum in collisions
  • Knowledge of the coefficient of restitution and its application
  • Familiarity with inelastic collision concepts
  • Basic principles of vector resolution in physics
NEXT STEPS
  • Study the application of the coefficient of restitution in two-dimensional collisions
  • Learn about energy loss in inelastic collisions and how to calculate it
  • Explore vector resolution techniques for analyzing collision angles
  • Review examples of oblique collisions to understand normal directions
USEFUL FOR

Physics students, educators, and anyone studying mechanics, particularly those focusing on collision dynamics and energy conservation principles.

physics148
Messages
12
Reaction score
0

Homework Statement


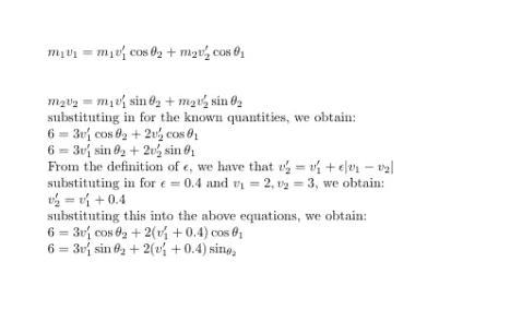
A particle of mass m1 collides with a particle of mass m2 initially moving at right angles to it(see Figure 1 below). Calculate the final velocities of each particle, and the angles at which the particles leave the collision site( as measured with respect to the original direction of m1) assuming that the coefficient of restitution is e=0.4, m1=3kg, m2=2kg, and the initial speeds of the particles are v1=2m/s, and v2=3m/s respectively.

Homework Equations


conservation of momentum
coefficient of restitution, e = |Vsep|/|Vapp|

The Attempt at a Solution


I attempted to solve this question using the conservation of momentum, as well as the coefficient of restitution equation. My work is shown in the figure below. Where I get confused now, is that I think I have 3 unknowns (v1', theta1 and theta2) in 2 equations. I thought about using energy conservation to obtain more equations, but then since this collision is inelastic, wouldn't I have to know the Q term(the energy lost) in order to use them? Any help would be greatly appreciated.

 

Attachments

  • question 1.PNG
    question 1.PNG
    30.6 KB · Views: 532
  • latex 1.PNG
    latex 1.PNG
    10.3 KB · Views: 502
Physics news on Phys.org
I don't think this question is well-defined if the usual definition of coefficient of restitution is applied.

See http://www.brown.edu/Departments/Engineering/Courses/En4/notes_old/oblique/oblique.html

Note how the coefficient of restitution is defined in terms of the normal components of the velocities. But, you don't know the normal direction for this problem.

For example, the answer would be different for the two cases shown below:

upload_2017-2-5_23-24-6.png


These are only two possibilities out of an infinite number. For the possibility shown on the left, the normal direction is the horizontal direction. For the figure on the right, the normal direction is the vertical direction.
 
Last edited:

Similar threads

Replies
10
Views
3K
  • · Replies 4 ·
Replies
4
Views
1K
  • · Replies 6 ·
Replies
6
Views
2K
Replies
9
Views
3K
Replies
5
Views
3K
  • · Replies 16 ·
Replies
16
Views
4K
  • · Replies 7 ·
Replies
7
Views
4K
  • · Replies 22 ·
Replies
22
Views
4K
  • · Replies 1 ·
Replies
1
Views
2K
  • · Replies 8 ·
Replies
8
Views
5K