Infinity Limit: Solving with Simplification and L'Hospital's Rule

  • Thread starter Thread starter seto6
  • Start date Start date
  • Tags Tags
    Limit
Click For Summary

Homework Help Overview

The discussion revolves around evaluating a limit involving square roots as the variable approaches negative infinity. The original poster attempts to simplify the expression to find the limit but encounters discrepancies between their result and that obtained from a computational tool.

Discussion Character

  • Exploratory, Assumption checking, Mathematical reasoning

Approaches and Questions Raised

  • Participants discuss the application of absolute values in the context of limits approaching negative infinity. There are attempts to rationalize the expression and questions about the justification of steps taken in simplification.

Discussion Status

Some participants provide guidance on how to handle absolute values and suggest rationalizing the numerator as a way to approach the limit. There is an ongoing exploration of different interpretations of the limit and the implications of using absolute values in the calculations.

Contextual Notes

Participants note the importance of correctly applying the definition of absolute values based on the sign of the variable as it approaches negative infinity. There is also mention of discrepancies between manual calculations and results from computational tools.

seto6
Messages
248
Reaction score
0

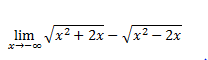
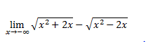
Homework Statement


1z6uzp1.png



Homework Equations



N/A (L'Hospital (maybe)??

The Attempt at a Solution




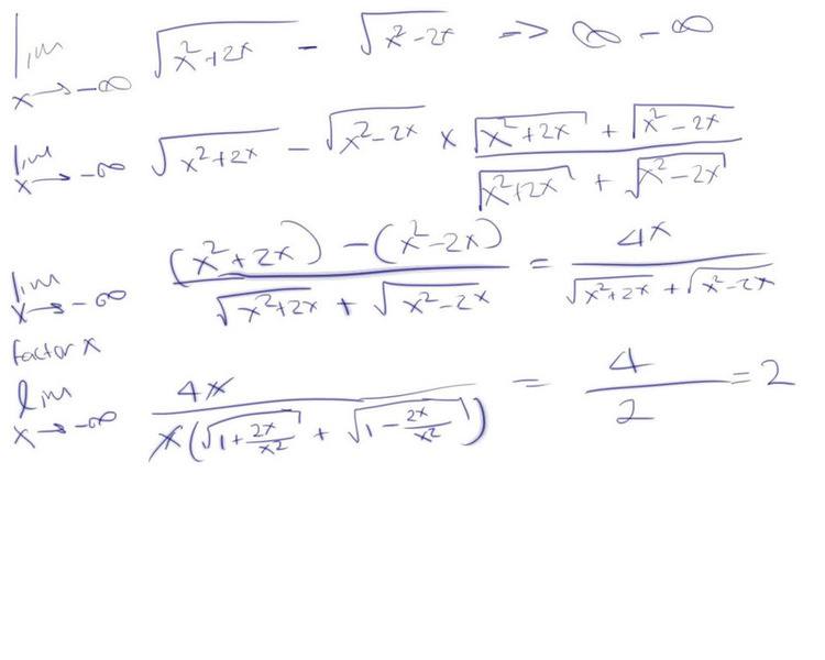
so this is what i tried,
209hzc1.jpg


since i got infinity - infininty, i tried to convert to a fraction then went on from there to get 2

but using wolfram it gave me -2, mind that it used l'hoapital after converting to a fraction, i didn't find it necessary to apply L'H, since i simplified and didn't get an intermidate form.


wolfram:: http://www.wolframalpha.com/input/?i=lim%20x-%3E%20-infinity%20%28sqrt%28%28x^2%29%2B2x%29-%28sqrt%28%28x^2%29-2x%29&t=wvg01
 

Attachments

  • 1z6uzp1.png
    1z6uzp1.png
    686 bytes · Views: 343
Physics news on Phys.org
Your last step is not really justified.

[tex]\sqrt{x^{2} +2x}+ \sqrt{x^{2}-2x }= |x| \left(\sqrt{1 + \frac{2}{x}} + \sqrt{1 -\frac{2}{x}} \right)[/tex]

Since x gets more and more negative

|x| = -x ( in this case)
 
abs(x)abs so i can use it as -x and x and see if they boht approch the same #?
 
seto6 said:
abs(x)abs so i can use it as -x and x and see if they boht approch the same #?
In your specific case they will not approach the same number as you can see. That is why wolfram got -2.

|x| = -x if x <0
|x| = x if x >= 0In you case x was going to negative infinity. So it only make sense to put abs(x) = -x.
In your solution you simiply put [tex]|x| = x[/tex] which is not justified since you are bringing stuff out of the square root.
 
hey.. so how can i work with the absolute's? help...
 
What do you mean ?
 
[tex] \sqrt{x^{2} +2x}+ \sqrt{x^{2}-2x }= |x| \left(\sqrt{1 + \frac{2}{x}} + \sqrt{1 -\frac{2}{x}} \right) [/tex]from here can i find the limit like i take into account like split into -x and x and find the values... i did find them but they are -2 and 2... where I am i going wrongEDIT: you said something about using -x...why is that...
 
I don't see how that will do any good at all since you still have that "|x|" going to infinity and the difference going to 0.

What I recommend, even though you don't really have a fraction, is to "rationalize the numerator":
[tex]\sqrt{x^2+ 2x}- \sqrt{x^2- 2x}= \left(\sqrt{x^2+ 2x}- \sqrt{x^2- 2x}\right)\frac{\sqrt{x^2+ 2x}+ \sqrt{x^2- 2x}}{\sqrt{x^2+ 2x}+ \sqrt{x^2- 2x}}[/tex]
[tex]= \frac{x^2+ 2x- (x^2- 2x)}{\sqrt{x^2+ 2x}+ \sqrt{x^2- 2x}}[/tex]
[tex]= \frac{4x}{\sqrt{x^2+ 2x}+ \sqrt{x^2- 2x}}[/tex]

Now divide both numerator and denominator by x, making it [itex]x^2[/itex] inside the square roots:
[tex]\frac{4}{\sqrt{1+ 2/x}+ \sqrt{1- 2/x}}[/tex]

Now take the limit as x goes to negative infinity.
 
seto6 said:
[tex]\sqrt{x^{2} +2x}+ \sqrt{x^{2}-2x }= |x| \left(\sqrt{1 + \frac{2}{x}} + \sqrt{1 -\frac{2}{x}} \right) [/tex]


from here can i find the limit like i take into account like split into -x and x and find the values... i did find them but they are -2 and 2... where I am i going wrong


EDIT: you said something about using -x...why is that...

Okay I will explain in more details.

[tex]\sqrt{x^2+ 2x}- \sqrt{x^2- 2x}= \left(\sqrt{x^2+ 2x}- \sqrt{x^2- 2x}\right)\frac{\sqrt{x^2+ 2x}+ \sqrt{x^2- 2x}}{\sqrt{x^2+ 2x}+ \sqrt{x^2- 2x}}[/tex]
[tex]= \frac{x^2+ 2x- (x^2- 2x)}{\sqrt{x^2+ 2x}+ \sqrt{x^2- 2x}}[/tex]
[tex]= \frac{4x}{\sqrt{x^2+ 2x}+ \sqrt{x^2- 2x}}[/tex]

This is all good. You did that part excellently.


[tex]\frac{4x}{ \left( \sqrt{ x^{2} \left(1+ \frac{2}{x}\right)}+ \sqrt{ x^{2} \left(1- \frac{2}{x} \right)} \right)}[/tex]

Take the [tex]x^2[/tex] term out
[tex]=\frac{4x}{ \left|x \right| \left( \sqrt{1+ 2/x}+ \sqrt{1- 2/x} \right)}[/tex]

The absolute value sign is because...
[tex]\sqrt{x^2} = \left|x \right|[/tex]

We know that |x| is defined as follows

|x| = -x if x<0
|x| = x if x >= 0

In your limit x <0 since you are making x approach negative infinity . x would be negative so -x would make x positive. Do you understand this ?

And that is why you should replace |x| with -x

That is ...
[tex]=\frac{4x}{-x \left( \sqrt{1+ 2/x}+ \sqrt{1- 2/x} \right)}[/tex]
[tex]=\frac{-4}{ \sqrt{1+ 2/x}+ \sqrt{1- 2/x}}[/tex]

And now you can happily take your limit to and you will see that it approaches [tex]\frac{-4}{2} = -2[/tex]






HallsofIvy said:
I don't see how that will do any good at all since you still have that "|x|" going to infinity and the difference going to 0.

What I recommend, even though you don't really have a fraction, is to "rationalize the numerator":
[tex]\sqrt{x^2+ 2x}- \sqrt{x^2- 2x}= \left(\sqrt{x^2+ 2x}- \sqrt{x^2- 2x}\right)\frac{\sqrt{x^2+ 2x}+ \sqrt{x^2- 2x}}{\sqrt{x^2+ 2x}+ \sqrt{x^2- 2x}}[/tex]
[tex]= \frac{x^2+ 2x- (x^2- 2x)}{\sqrt{x^2+ 2x}+ \sqrt{x^2- 2x}}[/tex]
[tex]= \frac{4x}{\sqrt{x^2+ 2x}+ \sqrt{x^2- 2x}}[/tex]

Now divide both numerator and denominator by x, making it [itex]x^2[/itex] inside the square roots:
[tex]\frac{4}{\sqrt{1+ 2/x}+ \sqrt{1- 2/x}}[/tex]

Now take the limit as x goes to negative infinity.

That is exactly what OP did which was incorrect.

Following your solution leads to a limit going to [tex]\frac{4}{2} =2[/tex] which is not correct!
 
  • #10
╔(σ_σ)╝ thank you so much i see where i went wrong...(I always make these mistake)
 

Similar threads

  • · Replies 1 ·
Replies
1
Views
2K
Replies
17
Views
2K
  • · Replies 7 ·
Replies
7
Views
2K
  • · Replies 2 ·
Replies
2
Views
2K
Replies
2
Views
3K
  • · Replies 8 ·
Replies
8
Views
2K
Replies
10
Views
2K
  • · Replies 4 ·
Replies
4
Views
2K
  • · Replies 6 ·
Replies
6
Views
2K
  • · Replies 15 ·
Replies
15
Views
2K