Integral in a variational principle problem

Click For Summary

Discussion Overview

The discussion revolves around solving an integral related to a variational principle problem presented in Griffith's book. Participants are seeking assistance with the final steps of the integration process, which is part of a broader theoretical context.

Discussion Character

  • Homework-related
  • Mathematical reasoning

Main Points Raised

  • One participant expresses difficulty in completing an integral indicated in Griffith's book and requests help to finish the integration.
  • Another participant suggests that the integral can be related to a Gaussian zero-mean probability density function, implying that known results for the area under the curve and variance could be useful.
  • A different participant advises checking the back cover of Griffith's book for standard integrals that may assist in solving the problem.
  • This participant also mentions that the first integral can be derived using a clever trick involving polar coordinates, while the second can be reduced to the first through integration by parts.
  • There is a comment questioning how the original poster progressed in the book without having encountered those integrals multiple times before.

Areas of Agreement / Disagreement

Participants do not reach a consensus on a specific method to solve the integral, and multiple suggestions are presented without agreement on which is the most effective approach.

Contextual Notes

Participants reference specific techniques and resources, but the discussion does not resolve the integral or clarify all assumptions involved in the proposed methods.

MrMuscle
Messages
12
Reaction score
1
TL;DR
Trying to solve the integral, for variational principle in griffith's book.
But I'm stuck at the final step. Can you please help?
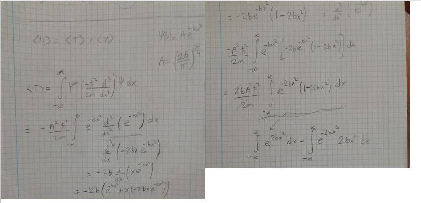
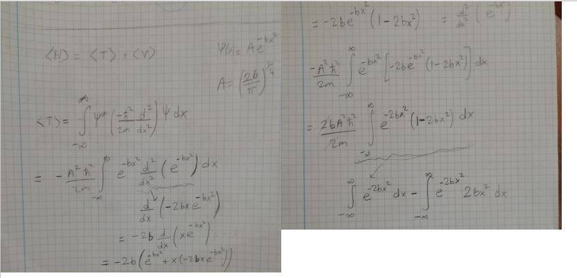
Hi, I am trying to solve the problem in Griffith's book about variational principle. However, I am having trouble to solve the integral by myself that I have indicated in redbox in Griffith's book. You can see my effort in hand-written pages. I brought it to the final step I believe, but can't go further. A little bit help to finish the integration would do great! Thanks for your help in advance!
answer.JPG

QUESTION.JPG
 
Physics news on Phys.org
MrMuscle said:
Summary: Trying to solve the integral, for variational principle in griffith's book.
But I'm stuck at the final step. Can you please help?

Hi, I am trying to solve the problem in Griffith's book about variational principle. However, I am having trouble to solve the integral by myself that I have indicated in redbox in Griffith's book. You can see my effort in hand-written pages. I brought it to the final step I believe, but can't go further. A little bit help to finish the integration would do great! Thanks for your help in advance!
View attachment 253010
View attachment 253009
You could make ##e^{-2bx^2}## look like a Gaussian zero-mean probability density function and use known results for the area under the curve and the variance.
 
MrMuscle said:
Summary: Trying to solve the integral, for variational principle in griffith's book.
But I'm stuck at the final step. Can you please help?

Hi, I am trying to solve the problem in Griffith's book about variational principle. However, I am having trouble to solve the integral by myself that I have indicated in redbox in Griffith's book. You can see my effort in hand-written pages. I brought it to the final step I believe, but can't go further. A little bit help to finish the integration would do great! Thanks for your help in advance!
View attachment 253010
View attachment 253009
If you look inside the back cover of the Griffiths book you might find those standard integrals.

If you want to derive them yourself, the first can be done by a clever trick and transforming to polar coordinates; and the second can be reduced to the first using integration by parts.

PS I'm not sure how you got so far in the book without doing those integrals about 20 times already!
 

Similar threads

  • · Replies 0 ·
Replies
0
Views
2K
  • · Replies 1 ·
Replies
1
Views
2K
  • · Replies 1 ·
Replies
1
Views
2K
  • · Replies 1 ·
Replies
1
Views
1K
  • · Replies 9 ·
Replies
9
Views
2K
  • · Replies 11 ·
Replies
11
Views
3K
  • · Replies 3 ·
Replies
3
Views
2K
  • · Replies 22 ·
Replies
22
Views
2K
  • · Replies 4 ·
Replies
4
Views
3K
  • · Replies 3 ·
Replies
3
Views
1K